Предмет: Математика,
автор: indira5678
помогите даю 20 балов!!!
Приложения:
Ответы
Автор ответа:
0
Ответ:
ниже
Пошаговое объяснение:
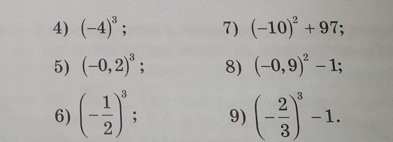
1) (-4)^3= 64
2)(-0,2)^3= 0,6
3)(-1/2)^3= 3/6
4)(-10)^2 +97=100+97=197
5)(-0,9)^2-1= 8,1-1=7,1
6)(-2/3)^3-1=6/9-1=-3/9
Похожие вопросы
Предмет: Физика,
автор: aa777aaI777
Предмет: Геометрия,
автор: 8victoria7
Предмет: Геометрия,
автор: drpsmnsk
Предмет: Математика,
автор: Olga12888
Предмет: История,
автор: Сонуня