Предмет: Алгебра, автор: sashavolk80

помогите пожалуйста!! очень срочно

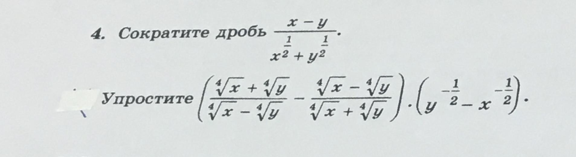
Приложения:

Ответы

Автор ответа: Nina1952
0
Смотри )))))))))))))))))))))))))))))
Приложения:
Похожие вопросы
Предмет: Другие предметы, автор: Аноним
Предмет: Литература, автор: jabil
Помогите мне Расставте запятые укажите на ошибки Вот текст: Быть целеустремленным это хорошо если цель хорошая. Например, Молчалин герой произведения А.С. Грибоедова «Горе от ума» очень целеустремлённый но его цель завоевать высшие чины что бы это ему не стоило. Кто же такой Алексей Степанович Молчалин? Это личный секретарь Фамусова. Сам же Алексей Степанович родился в Твери. Там же его и заприметил Фамусов и предложил ему работать на него надеясь что в будущем Молчалин будет помогать его семье. Он чтил завет отца: -мне завещал отец Во-первых, угождать всем людям без изъятья: Хозяину, где доведётся жить, Начальнику, с кем буду я служить, Слуге его, который чистит платья ; Швейцару, дворнику для избежанья зла, Собаке дворника, чтоб ласкова была. К службе же Молчалин относится ответственно и очень продуманно. Например , когда Фамусов застаёт его в покоях , чтобы его не заподозрили он принёс с собой папку для доклада. Молчалин хоть и посещает Софью и предлагает дружбу Лизе, но он никого не любит так как это помешает добиться заветной цели. В конце произведения его выгоняют из дома но это не помешает ему найти новый дом. Молчалины есть и в наше время, потому что фамусковское общество есть до сих пор. Молчалин не только смешен но и опасен особенно для тех кто ему помогал.
Предмет: География, автор: галя197