Предмет: Геометрия,
автор: Nastik200613
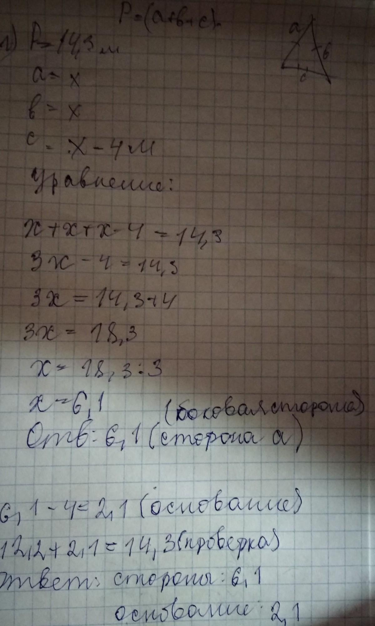
Периметр равнобедренного треугольника равен 14,3 м. Найдите его стороны если основание : 1) меньше боковой стороны на 4 м. 2) больше боковой стороны на 2 м.
Ответы
Автор ответа:
2
извиняюсь за плохой почерк
Приложения:
Похожие вопросы
Предмет: Алгебра,
автор: ksusaurcenko923
Предмет: Русский язык,
автор: milanad2103
Предмет: Геометрия,
автор: arifsarifov144
Предмет: Биология,
автор: KOSTYAPA2015