Предмет: Математика,
автор: arrra228
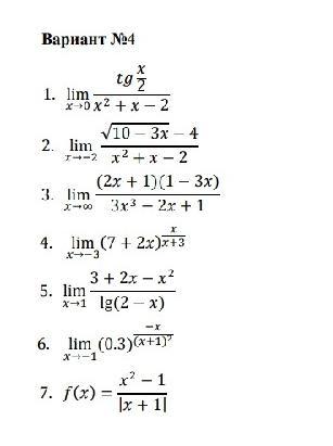
Решите пределы, пожалуйста !!!!!1
Приложения:
Ответы
Автор ответа:
0
Решение предоставлено на фото , будут вопросы пиши!
Приложения:
reginakot:
6 и 7 я тоже решила , почему то они не загрузились , добавь меня в друзья , я тебе в личку скину
Похожие вопросы
Предмет: Математика,
автор: korolivskijizomrud
Предмет: Математика,
автор: margarita5612
Предмет: Алгебра,
автор: matvey16810
Предмет: Математика,
автор: zazhigtasya06gmailru