Предмет: Алгебра,
автор: Дрындель
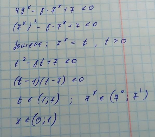
Решите показательные неравенства (в, г)
Приложения:
Ответы
Автор ответа:
0
Решения приложены...
Приложения:
Похожие вопросы
Предмет: Английский язык,
автор: ofo91204
Предмет: Биология,
автор: nastyupodrezova2007
Предмет: Литература,
автор: dashatrocenko4
Предмет: Информатика,
автор: Никита313123