Предмет: Математика,
автор: ki4kina
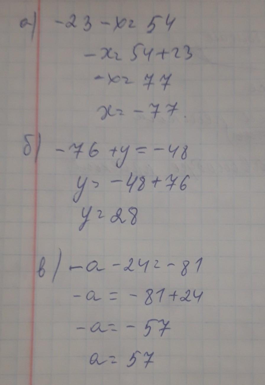
Решите уравнение а)-23-×=54; б)-76+у=-48; в)-а-24=-81
Ответы
Автор ответа:
1
Пошаговое объяснение:
ответ на фото............
Приложения:
Похожие вопросы
Предмет: Литература,
автор: taisiakovaleva304
Предмет: Английский язык,
автор: OlegIVanchenko572
Предмет: Математика,
автор: maxkolomoess12
Предмет: Обществознание,
автор: таисия251105
Предмет: Алгебра,
автор: Demmonz