Предмет: Алгебра,
автор: 20150118daryamo
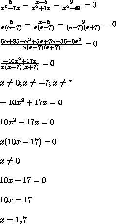
Помогите пожалуйста!!Решите уравнение
5/(x^2-7x)-(x-5)/(x^2+7x)-9/(x^2-49)=0
Ответы
Автор ответа:
0
Ответ:на фото
Объяснение:
Приложения:
Похожие вопросы
Предмет: Литература,
автор: ostroglyad0509
Предмет: Английский язык,
автор: PogChopmsea
Предмет: Литература,
автор: nika04101986
Предмет: Физика,
автор: рмваодааилгамодем