Предмет: Алгебра,
автор: kirich8899
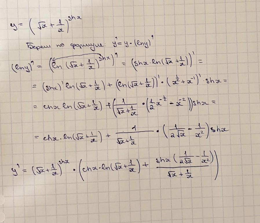
Математический анализ: Найти производную.
Приложения:
Ответы
Автор ответа:
0
Ответ:
решение на фотографии
Приложения:
Похожие вопросы
Предмет: Математика,
автор: Pelmeni4245
Предмет: История,
автор: Ferjk
Предмет: Математика,
автор: verybeatiffful
Предмет: Информатика,
автор: Лоенора
Предмет: Математика,
автор: 666222WestSide228666