Предмет: Математика, автор: PetiyaUmnik

Вычислить предел. Помогите пожалуйста, не понимаю что к чему здесь. ( Желательно без Лопиталя)

Приложения:

Nullpo201: Лопиталя проходил?
PetiyaUmnik: Не, желательно не через Лопиталя

Ответы

Автор ответа: Nullpo201
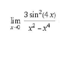
1

3sin²(4x)/x²-x⁴ = 3•4sin(4x)/4x • 4sin(4x)/4x • 1/1-x²

Разбил я на множители эту дробь, тут используем первый замечательный предел

lim = 12•4•1 = 48

Похожие вопросы
Предмет: История, автор: tokarmargarita19
Предмет: Биология, автор: ulyabandus