Предмет: Математика,
автор: fia19
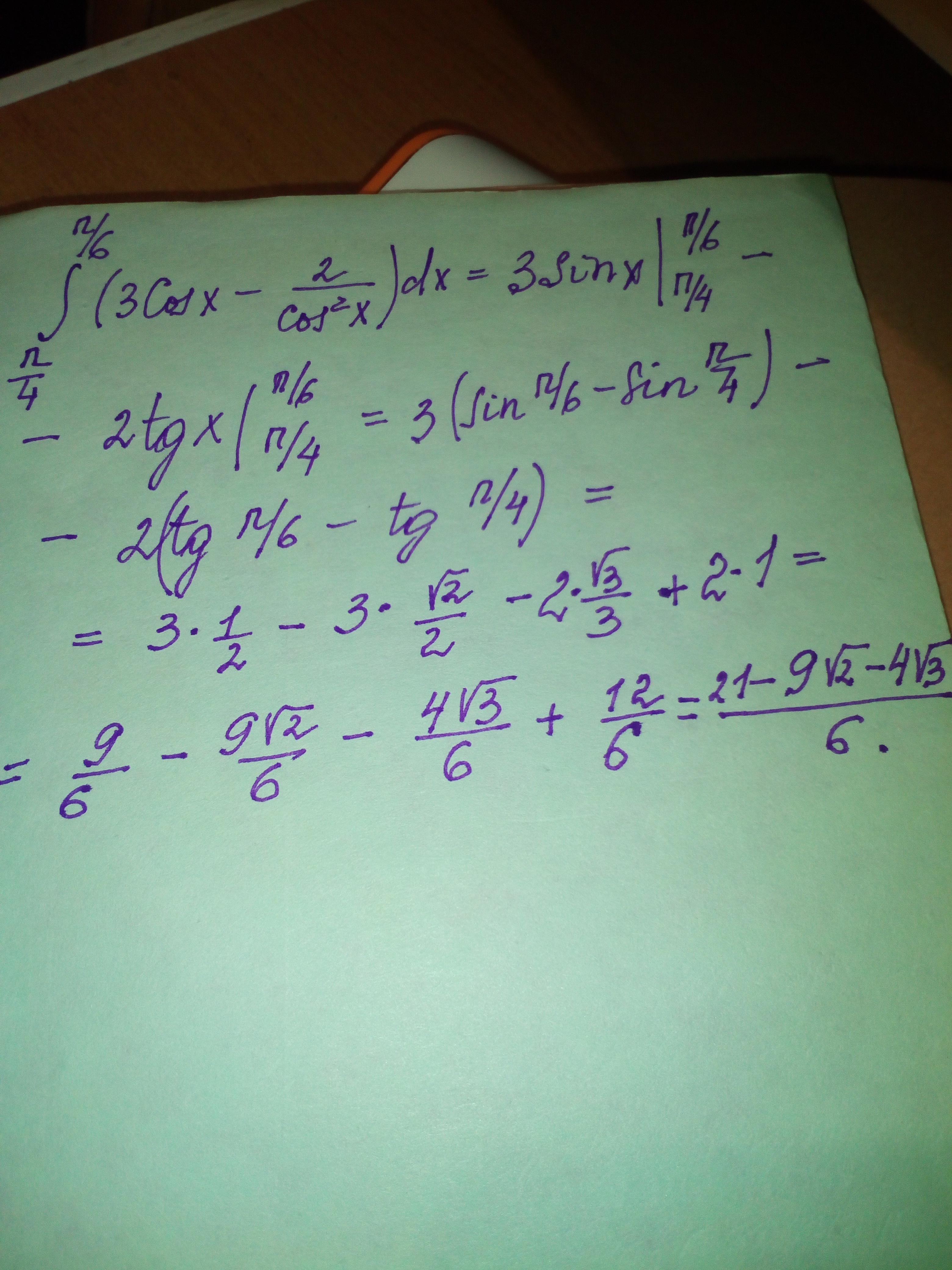
Помогите срочно пожалуйста если можно на листочке решение... 1) Вычислите определенный интеграл: интеграл от п/4 до п/6 (3 cos x-2/cos^2 x)
Ответы
Автор ответа:
0
Ответ: во вложении Пошаговое объяснение:
Приложения:
Похожие вопросы
Предмет: Геометрия,
автор: danya09beyblade
Предмет: Математика,
автор: privitprivit918
Предмет: Литература,
автор: rozam5669
Предмет: Музыка,
автор: Zlata343