Предмет: Математика, автор: anastasiasipulina17

Помогите) пожалуйста) ​

Приложения:

Ответы

Автор ответа: katenka1978
1

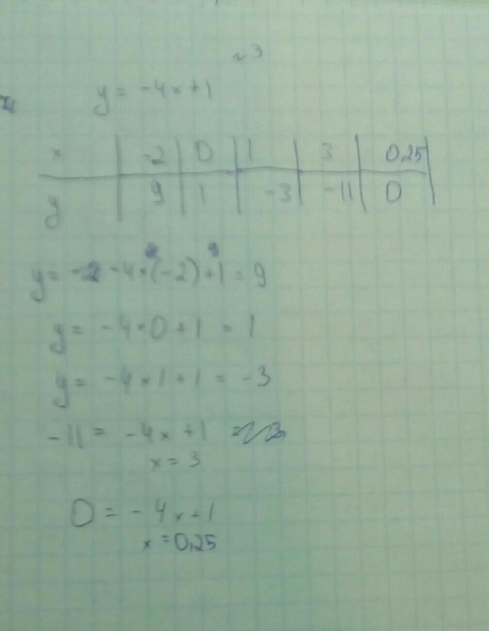
Держи! Надеюсь всё понятно написала.

Приложения:
Похожие вопросы
Предмет: Русский язык, автор: nadamariuca636
Летн…е утро ле…ко поднима…т с постели.

2) Над р…кой ещё расст…лает…ся туман. 3) Скоро он пропада…т в прозрачном воздухе и освобожда…т сизую крону дремучего тополя, потом в…рхушки черёмухи. 4) Пора отправлят…ся за грибами.

5) Я замет…л что чаще всего грибы попадают…ся возле берёз. 6) Берё…ка друж…т с грибами. 7) Под её покровом р…стёт всем извес…ный подберёзовик.

8) Подосиновик гриб яркий, стройный. 9) Он не вылез…т вдруг на дороге или на тропке. 10) Живёт он в высоком осиннике и (не)прячет…ся. 11) Издали замеча…шь его яркую шляпку среза…шь один гриб рядом вид…шь ещё штук пять.

12) И разом грибы кончают…ся но у вас уже полная к…рзинка. 13) Можно собират…ся домой. 14) Дома будет ждать чудесный ужин. (103 слова).



2. Озаглавьте текст.

3. Выпишите по одному глаголу прошедшего, настоящего и будущего времени.

4. Напишите номер одного сложного предложения.

5. Напишите номер предложения с однородными членами, соединенными союзом. Необходимо поставить запятую.

6. Выполните разбор слов по составу: летнее, подосиновик. ПОМОГИТЕ ПОЖАЛУЙСТА!!! ОЧЕНЬ СРОЧНО