Предмет: Алгебра,
автор: Hhcbm
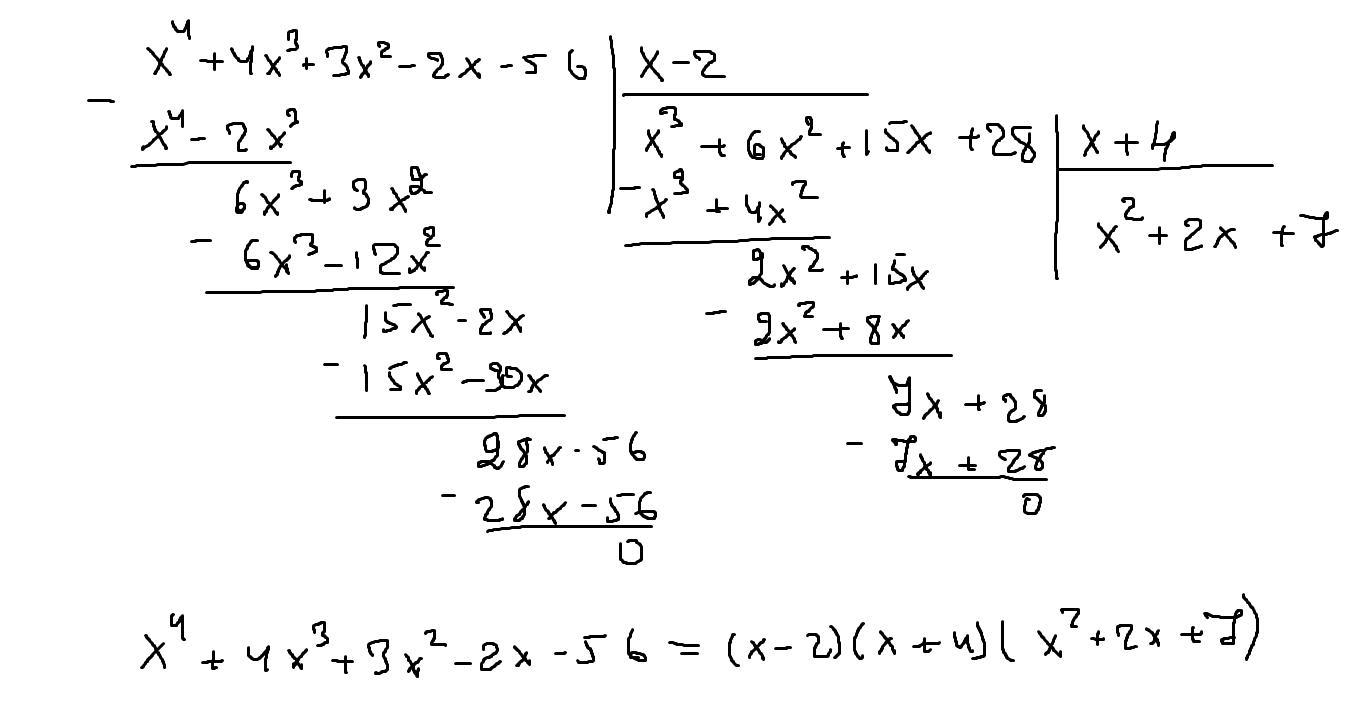
Поделите столбиком х^4+4х^3+3х^2-2х-56 на х-2
Ответы
Автор ответа:
0
......................................
Приложения:
Автор ответа:
0
Ответ:
= х^3+6х^2+15х+28
Объяснение:
На фото
Приложения:
Похожие вопросы
Предмет: Математика,
автор: dvmblackcat144
Предмет: География,
автор: zavyazkinkirill
Предмет: Математика,
автор: polinakravchenko359
Предмет: Математика,
автор: Аноним
Предмет: Геометрия,
автор: Неоныч