Предмет: Алгебра,
автор: kirich8899
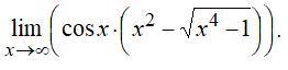
Вычислить предел функции или числовой последовательности
Приложения:
Ответы
Автор ответа:
1
////////////////////////////
Приложения:
kirich8899:
Спасибо. Реши пожалуйста мои остальные вопросы, которые я задал
Похожие вопросы
Предмет: Химия,
автор: krystynamamchak
Предмет: География,
автор: abrandrabura
Предмет: Литература,
автор: shyginandriy
Предмет: Математика,
автор: veronichkafits
Предмет: Математика,
автор: Lera66611