Предмет: Геометрия,
автор: lizyapelmeshek05
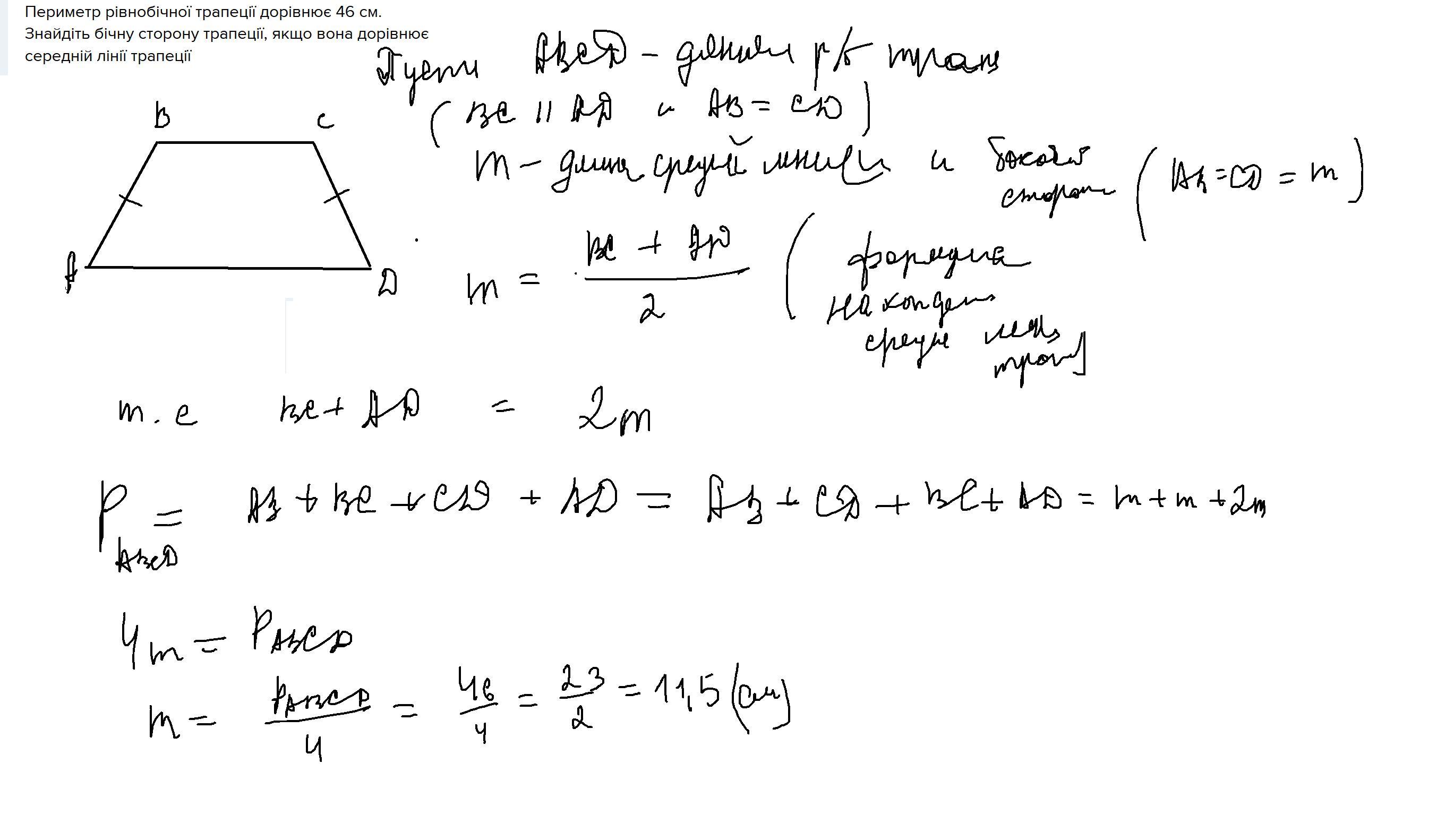
Периметр рівнобічної трапеції дорівнює 46 см. Знайдіть бічну сторону трапеції, якщо вона дорівнює середній лінії трапеції
Ответы
Автор ответа:
1
Ответ:
Объяснение:
Периметр рівнобічної трапеції дорівнює 46 см. Знайдіть бічну
Приложения:
Автор ответа:
1
уявимо р/б трапецію АВСД.
Р=2АВ+ВС+АД=46
2АВ=46-(ВС+АД)
АВ=23-(ВС+АД)/2
(ВС+АД)/2-середня лінія
за умовою (ВС+АД)/2=АВ,тоді
АВ+АВ=23
2*АВ=23
АВ=11,5 см
Похожие вопросы
Предмет: Математика,
автор: tatanazub264
Предмет: Математика,
автор: Аноним
Предмет: Математика,
автор: ivannapravdenko
Предмет: Математика,
автор: Aisha777999
Предмет: География,
автор: аришка88