Предмет: Математика,
автор: polus96
Помогитее!!!!Допоможіть!!!умникии!
Приложения:
Ответы
Автор ответа:
0
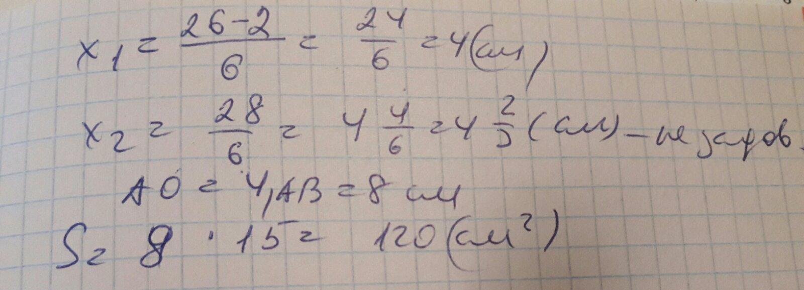
Відповідь:
Покрокове пояснення:
Приложения:
Похожие вопросы
Предмет: Биология,
автор: durdom22877747
Предмет: Математика,
автор: nadezdabondareva648
Предмет: География,
автор: dianapetrova2009
Предмет: Математика,
автор: андрей1614