Предмет: Алгебра,
автор: dasew12
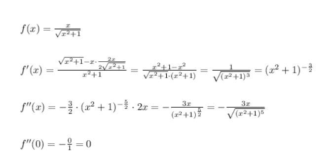
Помогите пожалуйста. .....
Приложения:
Аноним:
я полчаса условие рассматриваю. и прочесть не могу. не видно.
Ответы
Автор ответа:
0
................................................................................................................................
Приложения:
Похожие вопросы
Предмет: Английский язык,
автор: patalahadara4
Предмет: Математика,
автор: daniilvasiliga
Предмет: География,
автор: AndruxaZaBadnou
Предмет: Физика,
автор: viktoriyamrr2002
Предмет: История,
автор: 5837live