Предмет: Алгебра,
автор: maria22112005
помогите пожалуйста решить третий пример
Приложения:
Ответы
Автор ответа:
1
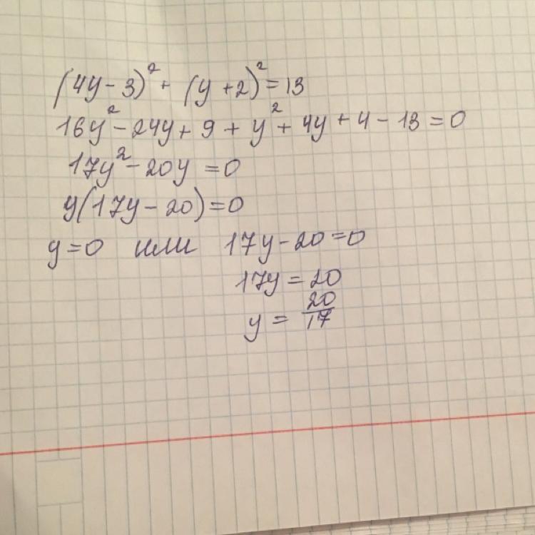
Решение на фотографии:
Приложения:
Автор ответа:
1
16y²-24y+9+y²+4y+4-13=0
17y²-20y=0
y(17y-20)=0
y1= 0, y2= 20/17
Похожие вопросы
Предмет: История,
автор: ddiannaa47
Предмет: Математика,
автор: zlacevskii
Предмет: Українська мова,
автор: daniam111009
Предмет: Литература,
автор: gerniona
Предмет: Математика,
автор: roma041