Предмет: Алгебра,
автор: Аноним
Ребят, помогите по быстрее
Приложения:
Ответы
Автор ответа:
1
Ответ:4)Б
5)А
6)наименьшее -1
Объяснение:
Приложения:
naz17:
Сейчас ещё
Автор ответа:
1
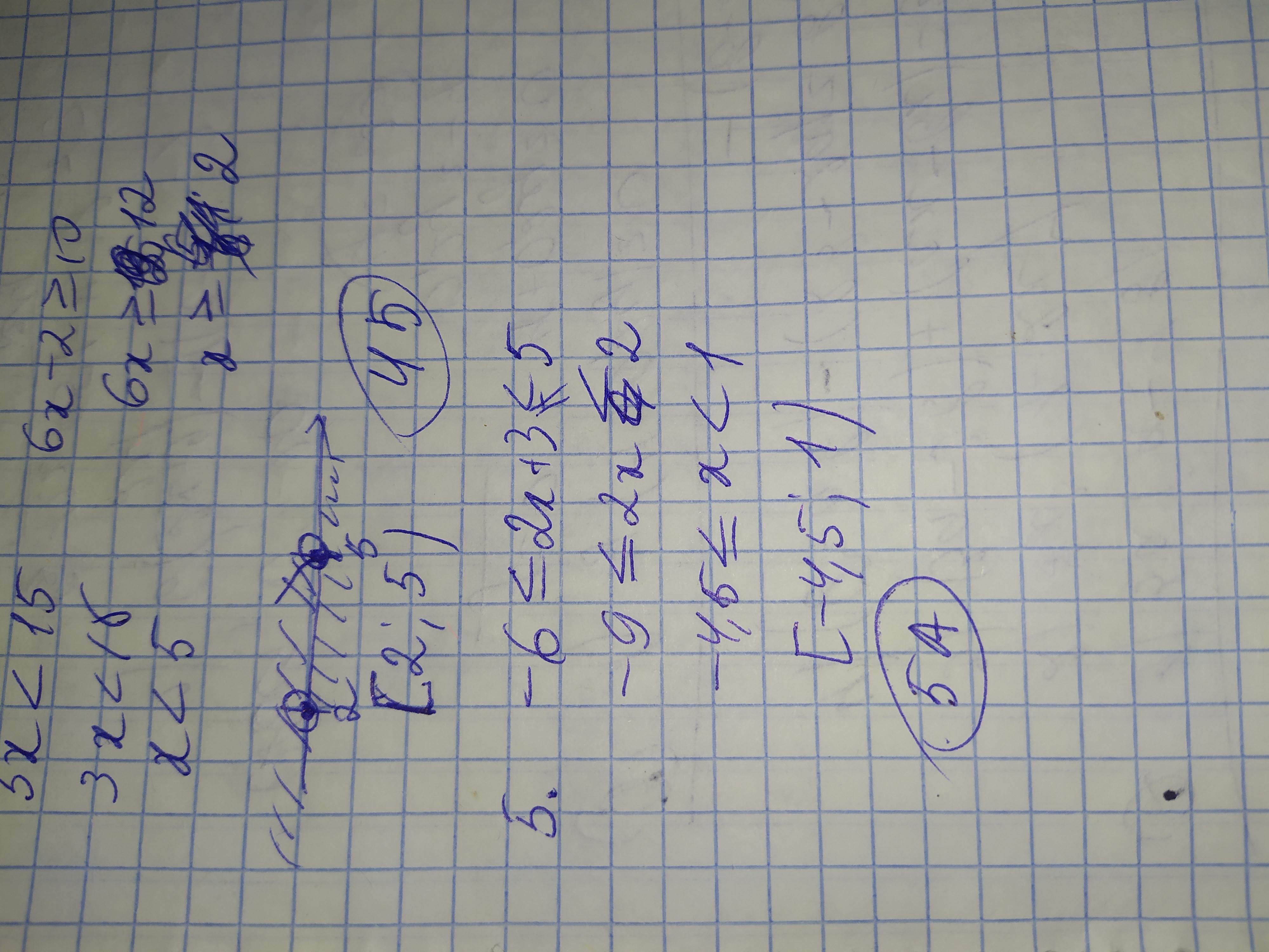
1) 3x-15<0
6x-2≥10
x<5
x≥2
x∈[2;5)
2) -6≤2x+3<5
-9≤2x<2
-4,5≤x<1
x∈[-4,5;1)
3) -6<3a≤0
-2<a≤0
a∈(-2;0]
-1.
Похожие вопросы
Предмет: Физика,
автор: karpovatatyana236
Предмет: Биология,
автор: yaroslav7197
Предмет: Математика,
автор: zaziraamankulova8
Предмет: История,
автор: варвара20001
Предмет: Математика,
автор: naqievramiz