Предмет: Математика,
автор: hello1234538
помогите пожалуйста по математике
Приложения:
Ответы
Автор ответа:
0
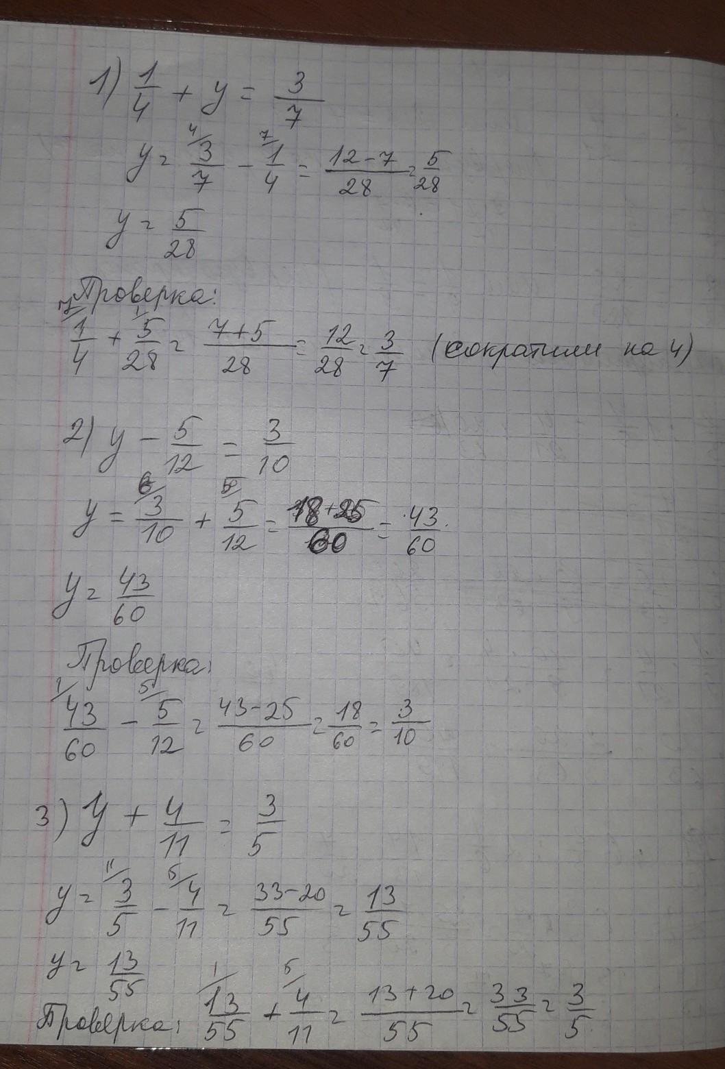
Ответ:
решение на фото.........
Приложения:
Похожие вопросы
Предмет: Алгебра,
автор: kseniaivanovya
Предмет: Математика,
автор: Taisiasuper200
Предмет: Литература,
автор: barnoxonismoilova75
Предмет: Математика,
автор: bossedoson
Предмет: Химия,
автор: kseniya1601