Предмет: Алгебра,
автор: hcfhfddhfytty
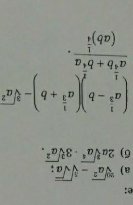
срочнооо 100 б алгебра ,упростить
Приложения:
Ответы
Автор ответа:
1
Ответ:
......................................
Приложения:
Похожие вопросы
Предмет: Английский язык,
автор: 20040408
Предмет: Алгебра,
автор: ivanarslanov83
Предмет: Физика,
автор: ksijei
Предмет: Математика,
автор: shetininmax
Предмет: Математика,
автор: Vivatnika