Предмет: Математика,
автор: jsjhevwvwvvwvsvsvsv
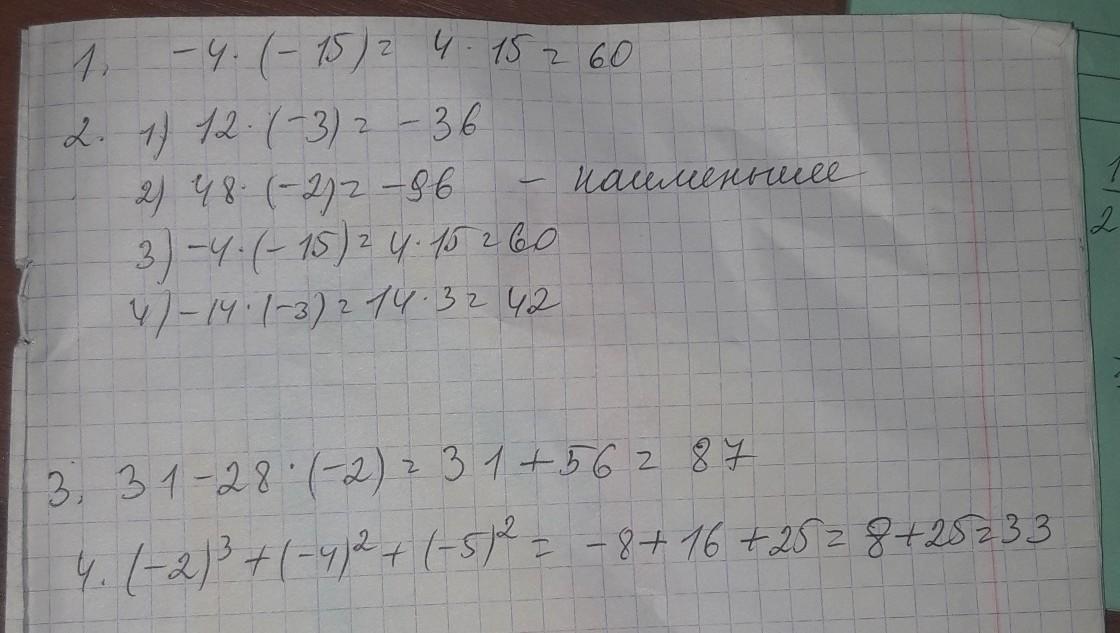
1. Выполните умножение:
-4*(-15)=
2. Какое из данных произведение наименьшее?
1) 12*(-3)
2)48*(-2)
3)-4*(-15)
4) -14*(-3)
3. Вычислите: 31-28*(-2)
4. Выполните действия:
(-2) [в 3 степени] + (-4) [во 2 степени] +
(-5) [во второй степни] =
mariia452:
тунь тунь тунь тунь тунь
Ответы
Автор ответа:
1
Ответ:
ответ на фото................
Приложения:
Ответы точно правильные?)
почему вы спрашиваете, я все решила и проверила. все точно!
Автор ответа:
1
1. 60
2. 2) наименьшее
3. 87
4. 33
2. 2) наименьшее
3. 87
4. 33
Похожие вопросы
Предмет: История,
автор: firefoxxxxxxxxxxxxxx
Предмет: Биология,
автор: wellwellwell1365546
Предмет: Химия,
автор: khristia3
Предмет: Математика,
автор: 00DASHASAPOGOVA00