Предмет: Алгебра, автор: vikkab74Vikila

Помогите пожалуйста! Срочно!
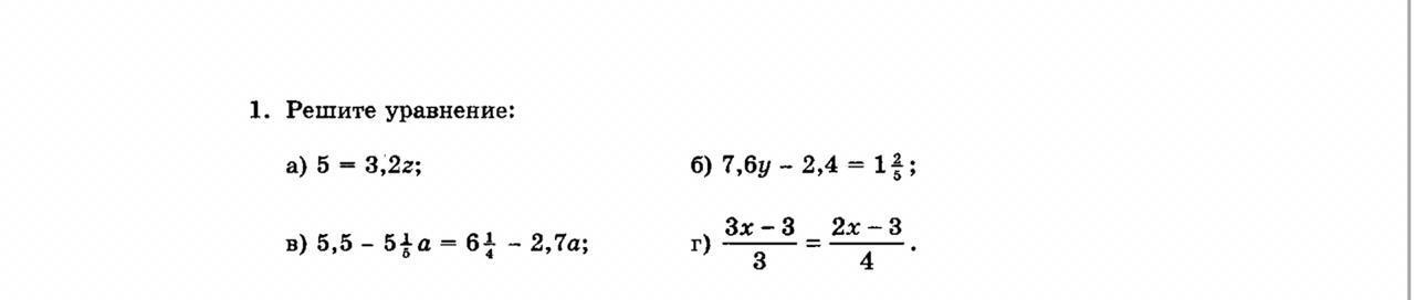
Задание на фото б), в) и г)

Приложения:

Ответы

Автор ответа: fukkacymi228
0

Ответ:

Воть, пожалуйста))))

Приложения:
Похожие вопросы
Предмет: География, автор: Markilin
1. Вулкан в Юго-Восточной Азии.
а. Котопахи в. Ключевская Сопка
б. Килиманджаро г. Кракатау
2. Горы, относящиеся к группе средневысотных гор.
а. Альпы в. Тибет
б. Урал г. Кордильеры
3. Залив, омывающий берега Северной Америки.
а. Персидский в. Мексиканский
б. Гвинейский г. Бенгальский
4. Острова, относящиеся к группе коралловых островов.
а. Гавайские в. Гренландия
б. Мадагаскар г. Большой Барьерный риф
5. Самая полноводная река мира.
а. Волга в. Конго
б. Нил г. Амазонка
Определите географический объект по описанию.
6. Эта равнина расположена в стране, лидирующей по количеству жителей. Реки, протекающие по этой равнине, благодаря общему наклону территории на восток, впадают в Тихий океан.
7. Это теплое океанское течение, протекающее в северном полушарии. Название его переводится на русский язык как «течение, берущее начало в заливе». Течение оказывает большое влияние на погоду северного полушария, и особенно Европы.




Установите соответствие между объектами.
8.
Река
Направление течения
Нил
На юг
Миссисипи
На восток
Амазонка
На север
9. Озеро Байкал расположено в котловине, происхождение которой связано с
а. Горстом в. Грабеном
б. Сбросом г. Кратером древнего вулкана
10. Внезапный кратковременный подъем уровня воды в реке.
а. Межень в. Паводок
б. Половодье г. Ледоход
11. Форма рельефа, созданная внутренними процессами
а. Овраг в. Бархан
б. Котлован г. Вулкан
12. Район активной вулканической деятельности.
а. Остров Мадагаскар в. Скандинавский полуостров
б. Среднесибирское плоскогорье г. Полуостров Камчатка
Установите соответствие.
13.
Горы
Высочайшая вершина
Альпы
Эльбрус
Кавказ
Аконкагуа
Анды
Монблан
14. Какое из морей является окраинным?
а. Черное в. Балтийское
б. Красное г. Баренцево
15. Какой полуостров омывается водами двух океанов?
а. Сомали в. Индостан
б. Аравийский г. Скандинавский
16. Наиболее плодородная почва.
а. Серая лесная в. Каштановая
б. Бурая лесная г. Чернозем
17. Горная порода, относящаяся к группе осадочных пород.
а. Базальт в. Гранит
б. Мрамор г. Известняк
18. В состав гидросферы не входят:
а) реки в) облака
б) моря г) подземные воды
19. Чем океаническая земная кора отличается от материковой?
а) температурой в) влажностью
б) толщиной д) твердостью.
20. Горизонтали — это линии равных:
а) температур; в) значений атмосферного давления
б) высот г) глубин.