Предмет: Математика,
автор: sanysahalinАлександр
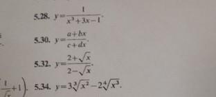
Найти производные функции
Приложения:
Ответы
Автор ответа:
1
Ответ:
===========================
Пошаговое объяснение:
Приложения:
Похожие вопросы
Предмет: Литература,
автор: tilimbaev760
Предмет: Українська мова,
автор: kukurudzak
Предмет: Алгебра,
автор: sarylbekovaziret
Предмет: Математика,
автор: ник3585