Предмет: Химия,
автор: Mardistrel
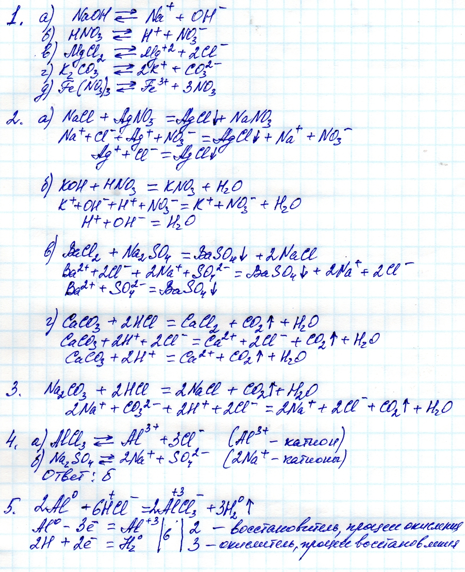
1. Напишите уравнения электролитической диссоциации:
а) NaOH; б) HNO3; в) MgCl2; г) K2CO3; д) Fe(NO3)3.
2. Определите в каких случаях происходит реакция между растворами следующих веществ. Написать уравнения химических реакций в молекулярном и ионном виде.
А) NaCl + AgNO3 В) BaCl2+ Na2SO4
Б) KOH+HNO3 Г) CaCO3+ HCl
3. По сокращенному ионному уравнению запишите полное ионное и молекулярное: СО32- + 2Н+ → H2O+ CO2
Напишите полные и сокращенные уравнения реакций.
4. При диссоциации какой соли образуется наибольшее количество катионов: а) АlCl3 б) Na2SO4
5. Указать степени окисления над знаками химических элементов, составьте электронный баланс, укажите процессы окисления и восстановления, окислитель и восстановитель
Al+ HCl → AlCl3 + H2
Срочно решите.
Ответы
Автор ответа:
0
.........................................................................................................
Приложения:
Похожие вопросы
Предмет: Математика,
автор: sofiamokina31122009
Предмет: Математика,
автор: Beautifullboy
Предмет: Английский язык,
автор: kozajhanovak
Предмет: Алгебра,
автор: azamat2404
Предмет: Литература,
автор: Иван15