Предмет: Алгебра, автор: Inetren

помогите пожалуйста​

Приложения:

Ответы

Автор ответа: igundane
1

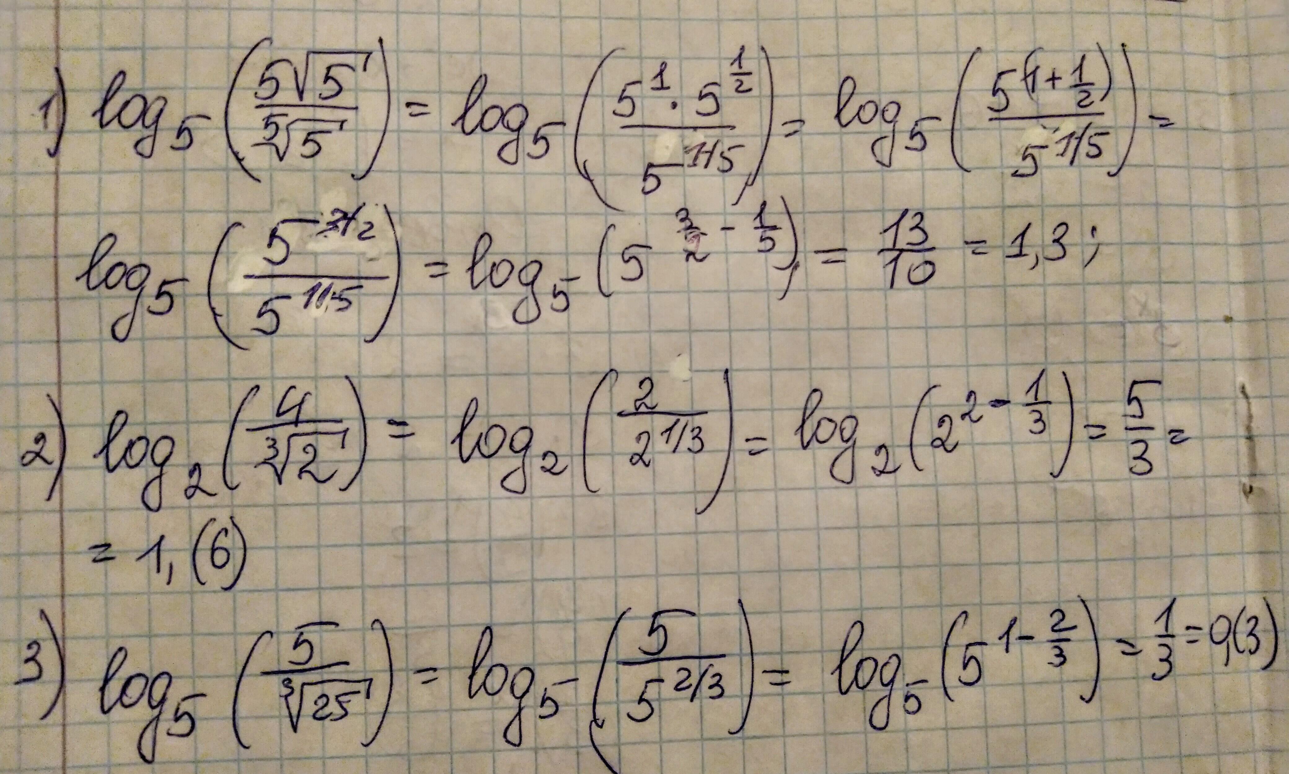
1)log_5(\frac{5\sqrt{5} }{\sqrt[5]{5} } )=log_5(5^{\frac{3}{2}-\frac{1}{5}  })=\frac{13}{10}=1,3\\2) log_2(\frac{4}{\sqrt[3]{2} } )=log_2(2^{2-\frac{1}{3} })=\frac{5}{3}=1,(6)\\3) log_5(\frac{5}{\sqrt[3]{25} } )=log_5(5^{1-\frac{2}{3} })=\frac{1}{3} =0,(3)\\4)log_3(3\sqrt[3]{3} )=log_3(3^{1+\frac{1}{3} })=\frac{4}{3} =1,(3)

Автор ответа: bertain
1

Ответ: 1 — В, 2 — Д, 3 — Б, 4 — Г

Решение: на фотографиях

Приложения:

bertain: в 3 примере после первого "равно" 2^2 в числителе (потому что 4=2^2), случайно забыла дописать после того, как закорректировала
Inetren: ок, спасибо
Похожие вопросы
Предмет: Математика, автор: lenysha0906
Предмет: Литература, автор: annapol30102010