Предмет: Алгебра,
автор: maksimovaa794
Решите пж, очень надо!!!
Приложения:
Ответы
Автор ответа:
1
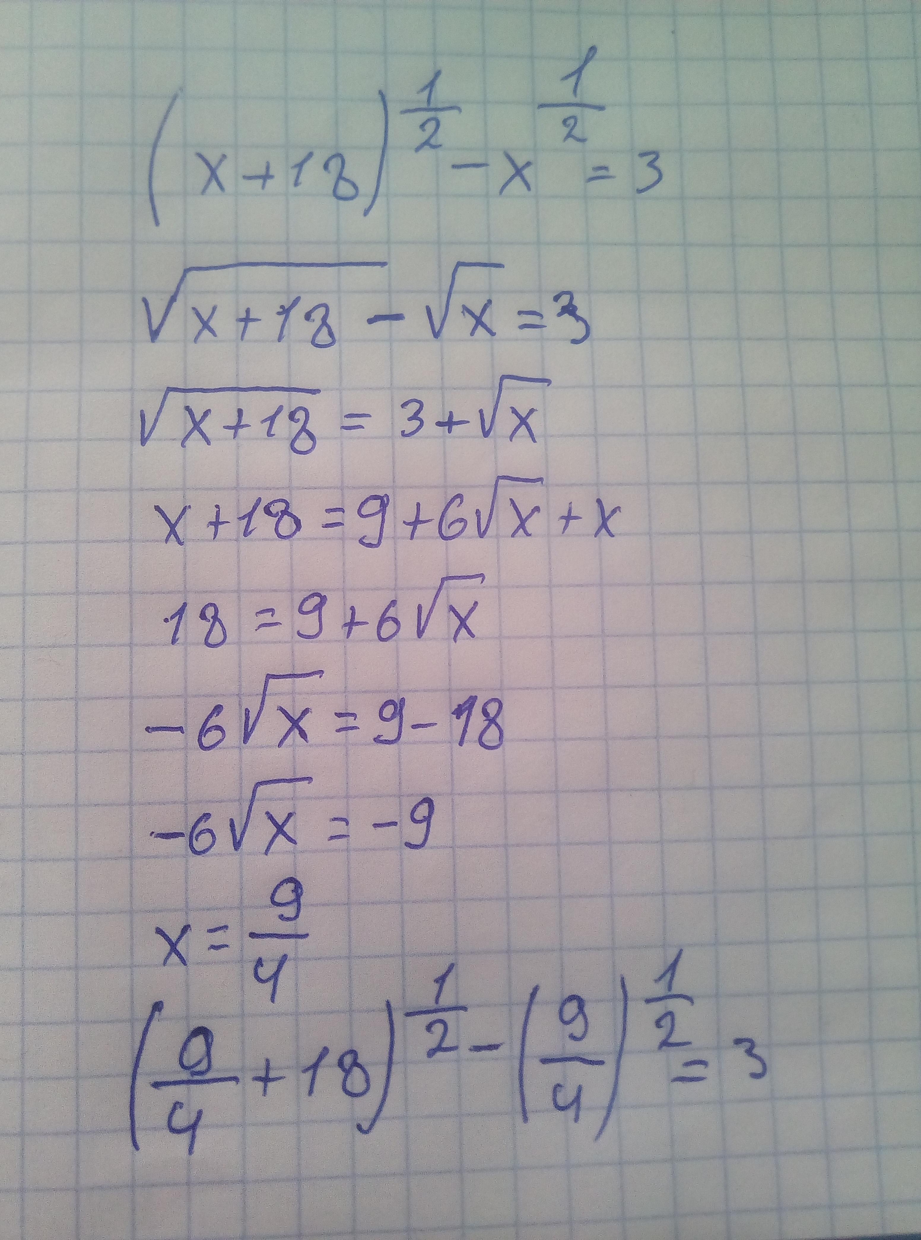
Ответ: х=9/4
(9/4+18)1/2-(9/4)1/2=3
Приложения:
sharofat0:
В ваших расчетах допущена ошибка. Конечный ответ считаю получен неверный
Похожие вопросы
Предмет: Математика,
автор: nikitazanin66632
Предмет: Английский язык,
автор: azisisks092733
Предмет: Астрономия,
автор: koboltovivan
Предмет: Математика,
автор: Maga328i
Предмет: Обществознание,
автор: DeaGle205