Предмет: Информатика,
автор: rdraken
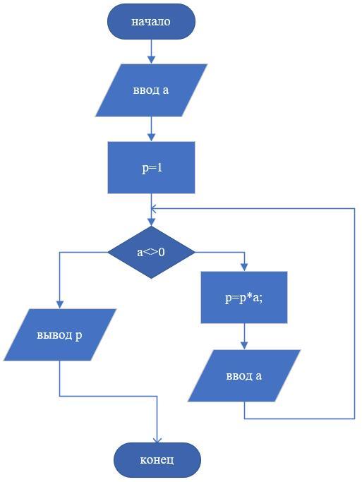
Вводится произвольная последовательность чисел, заканчивающаяся нулём. Определить произведение введенных чисел.
Составить блок схему решения данной задачи
Ответы
Автор ответа:
0
Блок-схема во вложении.
Приложения:
Похожие вопросы
Предмет: Литература,
автор: aliskalisicka91
Предмет: История,
автор: rsybdessj
Предмет: Математика,
автор: ztuskhu93747
Предмет: Геометрия,
автор: Сверхразум111