Предмет: Математика,
автор: Luki4eva2010
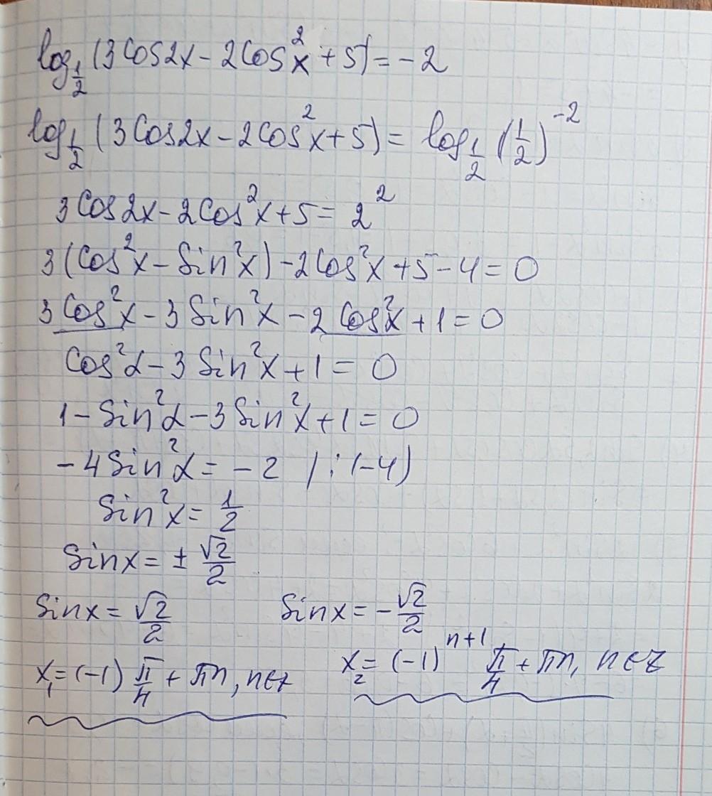
Log1/2(3cos2x - 2cos^2x+5) =-2
Решите пожалуйста.
Поздно решил.Спасибо за помощь...
Ответы
Автор ответа:
2
Ответ:
решение задания смотри на фотографии
Приложения:
Похожие вопросы
Предмет: Биология,
автор: minusuhucel
Предмет: Русский язык,
автор: Аноним
Предмет: Математика,
автор: AleksanderGlaser
Предмет: Биология,
автор: пптнтнтнт
Предмет: Литература,
автор: еее106