Предмет: Алгебра, автор: Makeplay

Упростить выражение очень нужно​

Приложения:

Ответы

Автор ответа: Universalka
0

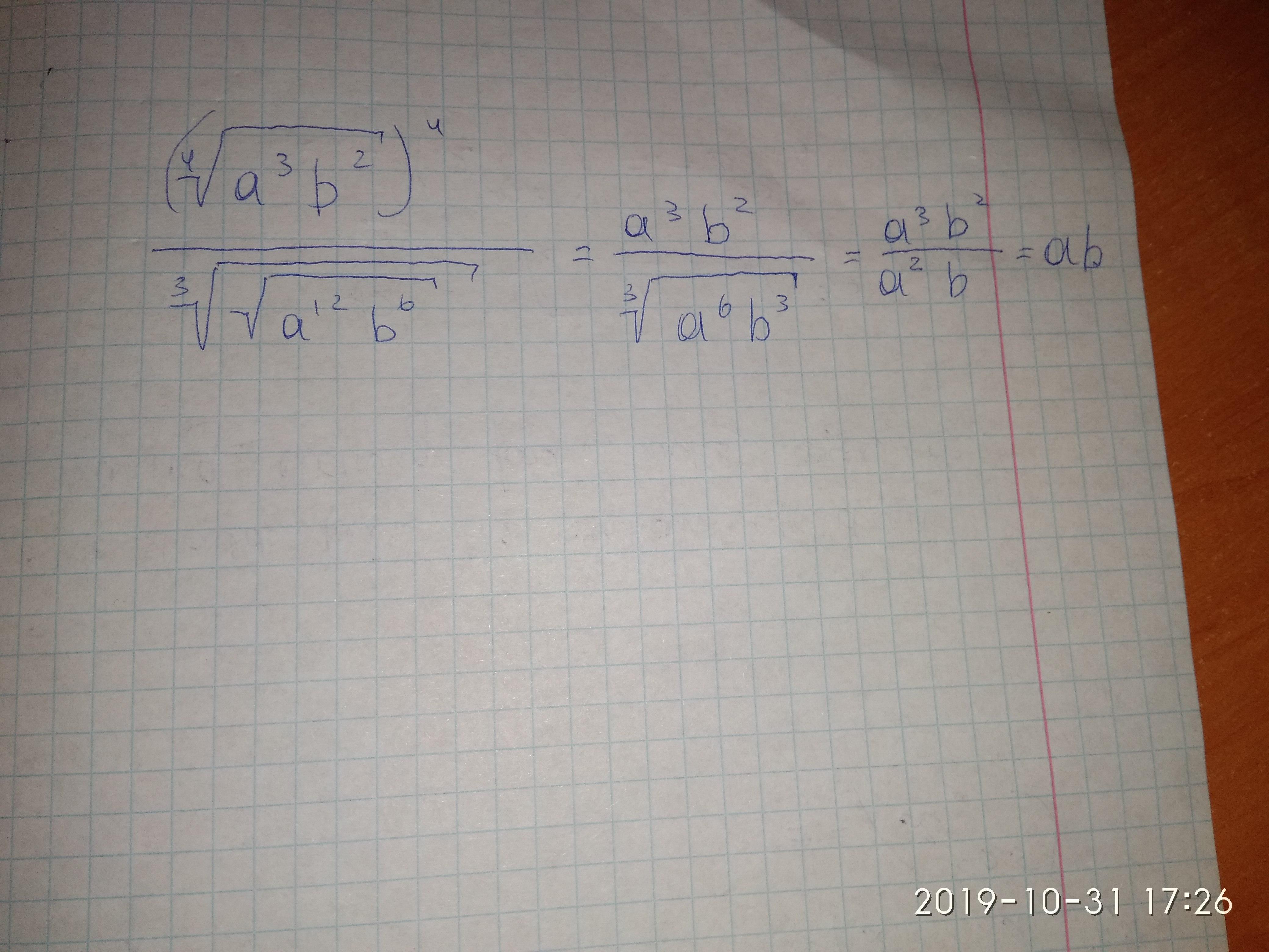
\frac{(\sqrt[4]{a^{3}b^{2}})^{4}}{\sqrt[3]{\sqrt{a^{12}b^{6}}}}=\frac{a^{3}b^{2}}{\sqrt[6]{(a^{2}b)^{6}}}=\frac{a^{3}b^{2}}{a^{2}b}=ab\\\\Otvet:\boxed{ab}

Автор ответа: superchannel2501
0

Ответ:вот лови

Объяснение:

Приложения:
Похожие вопросы
Предмет: Английский язык, автор: Аноним