Предмет: Математика,
автор: sacha200507
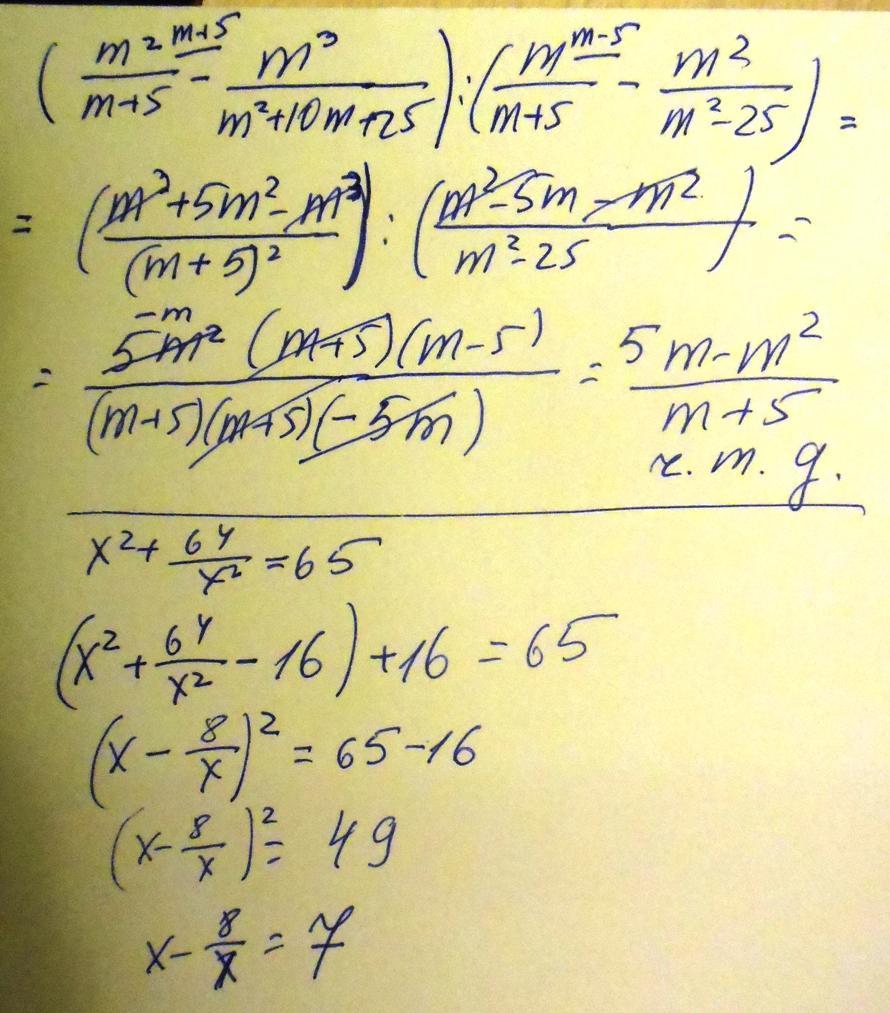
!!!!!!пожалуйста отдам 35 балов ответ, пожалуйста к завтра...!!!!!!!
Приложения:
Ответы
Автор ответа:
2
!!!!!!!!!!!!!!!!!!!!!!!!!!!!!!!!!!!!!!!1
Приложения:
sacha200507:
спасибо большое ты самый лучший!!!!
пожалуйста!!!!!!!!!!!!!!!1
Похожие вопросы
Предмет: Алгебра,
автор: vadyabugrimenko
Предмет: Алгебра,
автор: Maria6870
Предмет: Английский язык,
автор: qicka
Предмет: Математика,
автор: Marissa2006