Предмет: Математика, автор: ksrfididdidk

РЕШИТЕ ПЖ И СКИНЬТЕ ФОТОМ ПОЖАЛУЙСТА!!!​

Приложения:

Ответы

Автор ответа: rgolovcov
1

2.

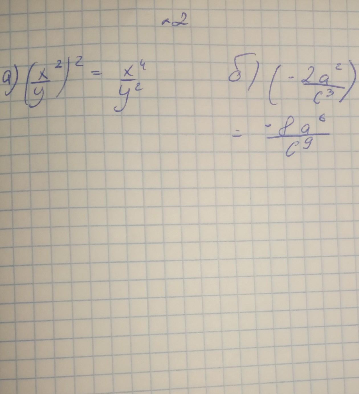
( \frac{x {}^{2} }{y} ) {}^{2}  =  \frac{x {}^{4} }{y {}^{2} }

( \frac{ - 2a {}^{2} }{c {}^{3} } ) =   -  \frac{8a {}^{6} }{c {}^{9} }

Приложения:
Похожие вопросы
Предмет: Математика, автор: KarsakovaAlena