Предмет: Алгебра,
автор: RitaShpak
Помогите пожалуйста решить 4,5 задания
Приложения:
Ответы
Автор ответа:
1
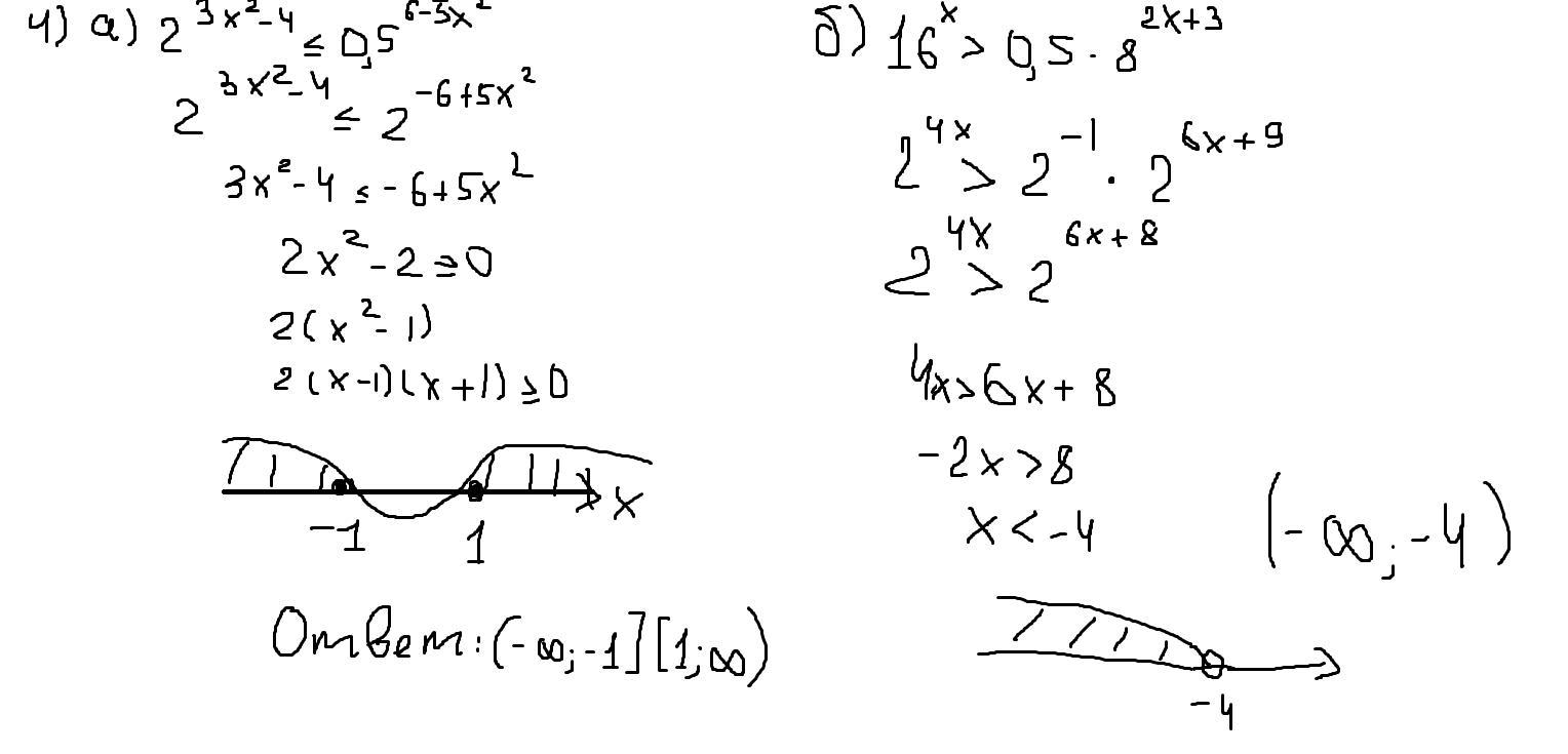
Ответ:
4) а) (-∞;-1][1;∞)
b) (-∞;-4)
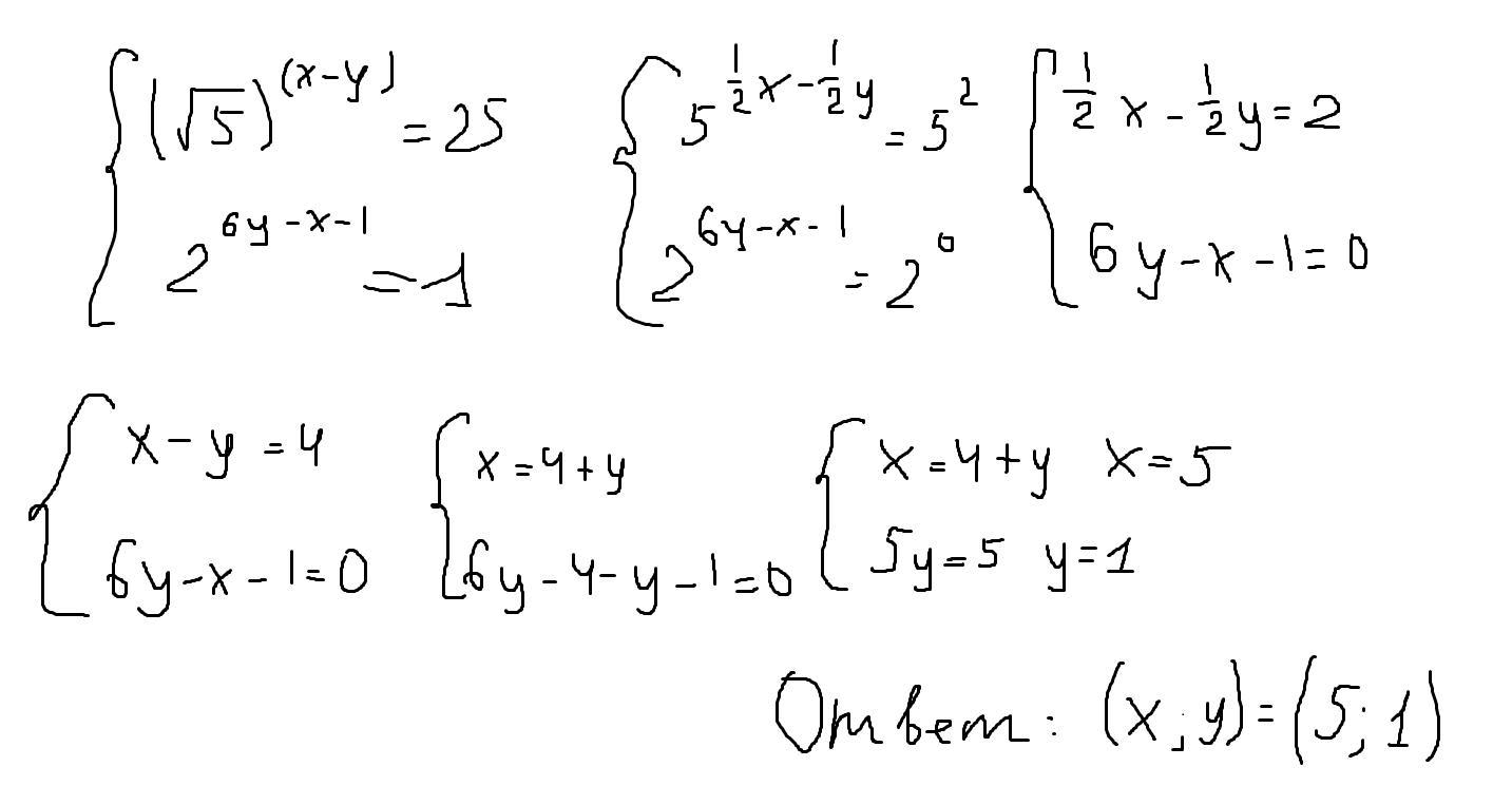
5) (x;y) = (5;1)
Объяснение:
Заранее извиняюсь за почерк!
Приложения:
Похожие вопросы
Предмет: Русский язык,
автор: nastazaginaj
Предмет: Математика,
автор: dmemione
Предмет: Українська література,
автор: sadovoiboy2009ok
Предмет: Обществознание,
автор: олеся537
Предмет: Математика,
автор: sibi99999