Предмет: Алгебра, автор: bertain

100 б + лучший ответ! Найти предел:

Приложения:

moboqe: что находится в знаменателе степени?
bertain: степень: 1/(2х)

Ответы

Автор ответа: moboqe
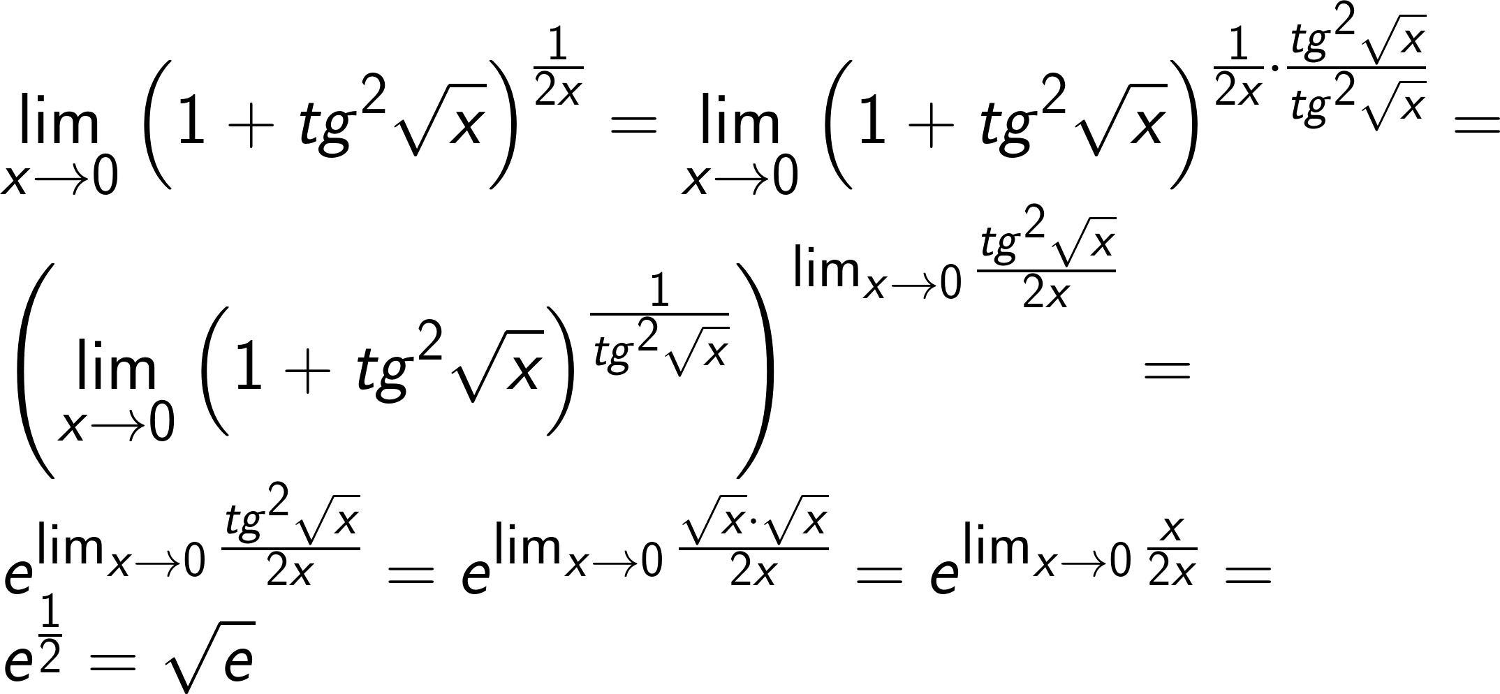
1

Ответ:

\sqrt{e}

Объяснение:

Приложения:

bertain: тангес в квадрате
bertain: Помогите, пожалуйста, с заданием https://znanija.com/task/33244943
Автор ответа: AnonimusPro
1

\lim_{x \to 0} (1+tg^2\sqrt{x})^{\frac{1}{2x}  }= \lim_{x \to 0} (1+tg^2\sqrt{x})^{\frac{1}{2x}  *tg^2\sqrt{x}*\frac{1}{tg^2\sqrt{x}}}= \\=\lim_{x \to 0} e^{\frac{tg^2\sqrt{x}}{2x} }=\lim_{x \to 0} e^{\frac{1}{2}*\frac{tg\sqrt{x}*tg\sqrt{x}}{\sqrt{x}*\sqrt{x}} }=e^{\frac{1}{2}}

Похожие вопросы
Предмет: Математика, автор: markraolalv
Предмет: Математика, автор: Samira45