Предмет: Математика,
автор: odinodinilin
Зделайте 3 любых задачи с решением(заранее спс)
Приложения:
Ответы
Автор ответа:
1
Ответ:
4) 1.
Пошаговое объяснение:
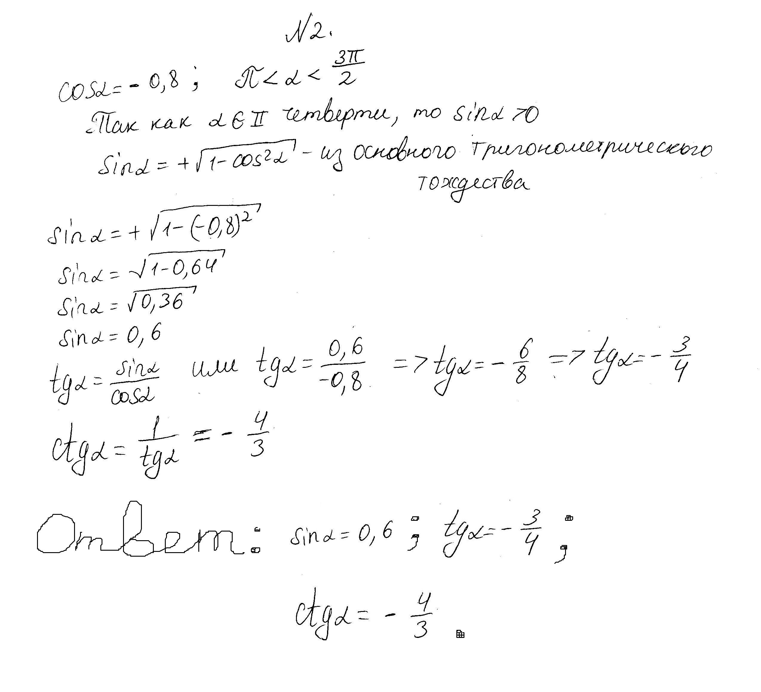
Решение в приложении
Приложения:
Похожие вопросы
Предмет: Математика,
автор: sonasankova14
Предмет: Биология,
автор: katiprudnichenko
Предмет: Українська мова,
автор: iradzivoronuk
Предмет: Алгебра,
автор: Chubavladislav
Предмет: Математика,
автор: Bzarina1103131