Предмет: Геометрия,
автор: artemonzvonok
ПОМОГИТЕ, ПОЖАЛУЙСТА!
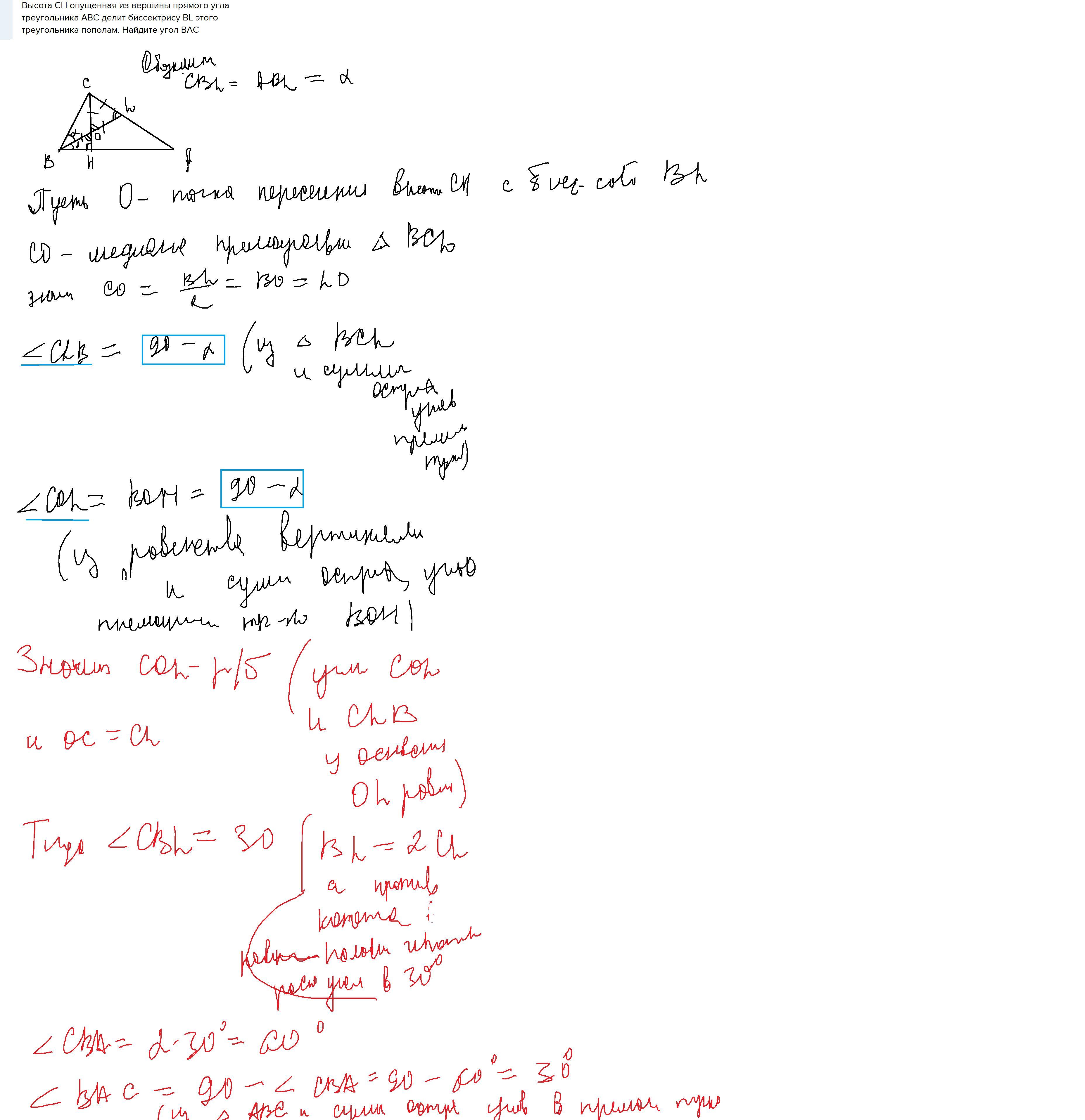
Высота СН опущенная из вершины прямого угла треугольника АВС делит биссектрису ВL этого треугольника пополам. Найдите угол ВАС
Nelia2019:
Это всё условие? Цифры какие-то есть?
Ответы
Автор ответа:
4
Ответ:
Объяснение:
ПОМОГИТЕ, ПОЖАЛУЙСТА!
Высота СН опущенная из вершины прямого угла треугольника АВС
Приложения:
Похожие вопросы
Предмет: География,
автор: senalmira692
Предмет: Химия,
автор: trtatyanakl
Предмет: Математика,
автор: DangerMelok
Предмет: Математика,
автор: Аноним