Предмет: Физика,
автор: qwerty7549
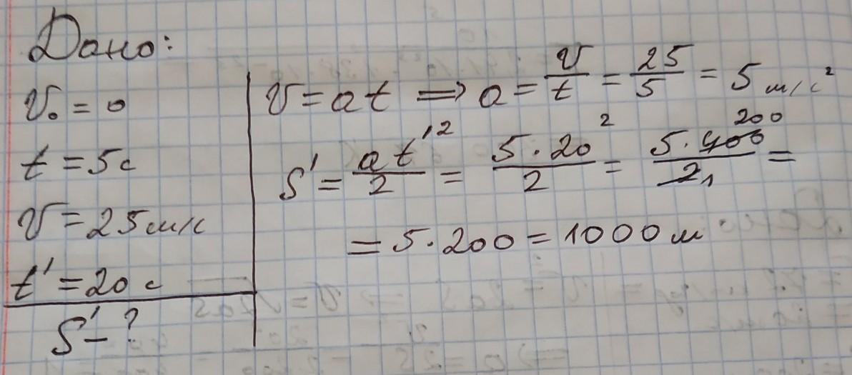
автомобиль двигаясь равноускоренно из состояния покоя, через 5 секунд после начала движения достиг скорости 25м/с какой путь прошел автомобиль за 20 с
Ответы
Автор ответа:
1
Ответ:
S=1000м=1км
Объяснение:
...............
Приложения:
Похожие вопросы
Предмет: Математика,
автор: pochta123098plov
Предмет: Другие предметы,
автор: hamidovm416
Предмет: Английский язык,
автор: emmataova09
Предмет: Математика,
автор: arinasmolina38
Предмет: Математика,
автор: TheWadya1337