Предмет: Математика,
автор: Luciyaok
Выполни деление с остатком и проверь:
975,818÷7
можно прям с объяснением пожалуйста.
Ответы
Автор ответа:
4
ответ с объяснением вот это
Приложения:
Luciyaok:
Извените мне не понятно, что куда и что в конце
можно чётко расписать?
Автор ответа:
5
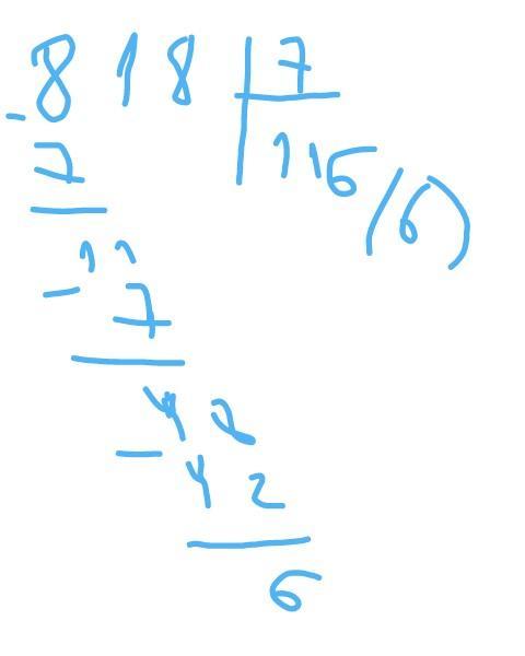
Ответ:975/7
975/7
_7 139
27
21
65
63
2ост ответ:139 2ост
Похожие вопросы
Предмет: Алгебра,
автор: dima90001
Предмет: Алгебра,
автор: maksbezejko
Предмет: Французский язык,
автор: a26449156
Предмет: Математика,
автор: konikyv
Предмет: Математика,
автор: 87711950734