Предмет: Геометрия,
автор: 89104433329
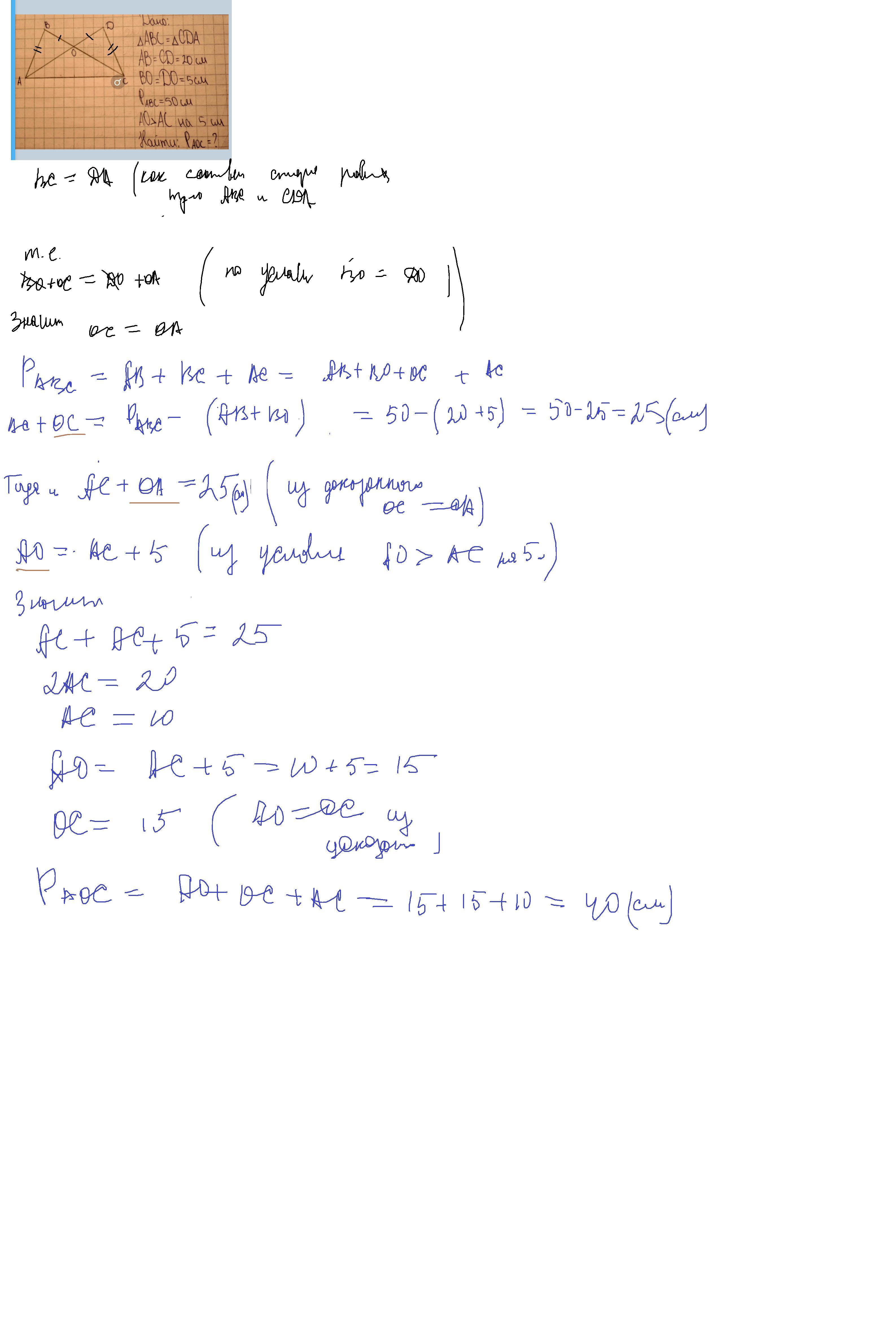
Решите, пожалуйста! С объяснениями, срочнооо!
Приложения:
Ответы
Автор ответа:
0
Ответ:
Объяснение:
Решите, пожалуйста! С объяснениями
Приложения:
Похожие вопросы
Предмет: Математика,
автор: nonamebrh
Предмет: Қазақ тiлi,
автор: ersinnazymbek
Предмет: Русский язык,
автор: samsungqusar66291
Предмет: Математика,
автор: Влада400
Предмет: Математика,
автор: ujfwuuxd