Предмет: Алгебра,
автор: foggyfoxx
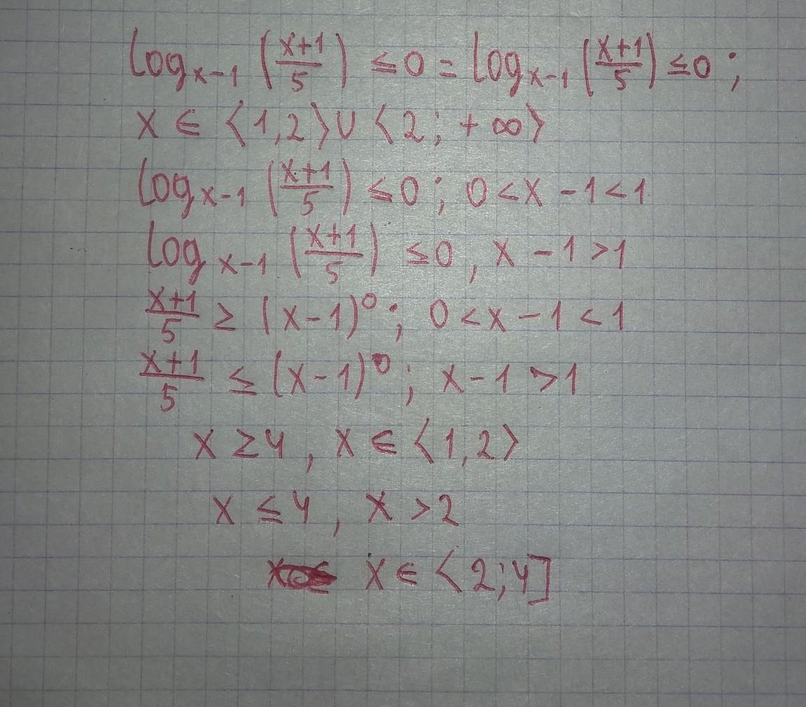
Решить уравнение:
Ответы
Автор ответа:
0
Ответ:
держи надеюсь что помогла)
Приложения:
Похожие вопросы
Предмет: Английский язык,
автор: engener201
Предмет: Алгебра,
автор: vladschum2007
Предмет: Английский язык,
автор: cheburekpotato
Предмет: Математика,
автор: варвара103