Предмет: Алгебра,
автор: yatvo77
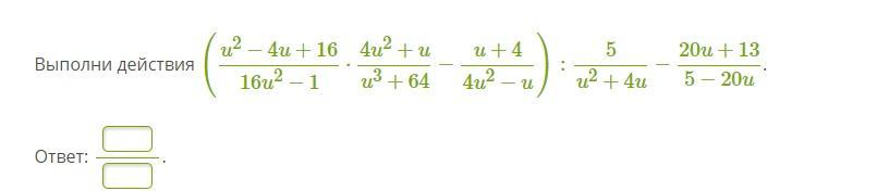
Хелп ми плиз. Алгебра 8 класс
Приложения:
Ответы
Автор ответа:
1
Ответ: решение смотри на фотографии
Объяснение:
Приложения:
Похожие вопросы
Предмет: История,
автор: glebvok02
Предмет: Математика,
автор: aleksandraosipenko20
Предмет: Қазақ тiлi,
автор: anastassiyamuravleva
Предмет: Математика,
автор: liza060603
Предмет: Литература,
автор: romaimarina