Предмет: Математика,
автор: tipicalmogor
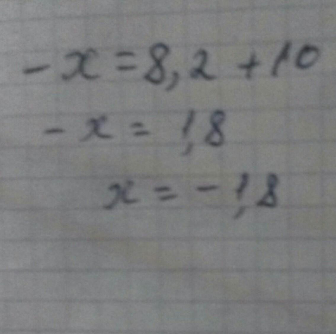
КАК РЕШАЕТСЯ -x=-8,2+10
Ответы
Автор ответа:
1
Ответ:
1, 8
Пошаговое объяснение:
Сначала мы складываем правую часть, и получается -х = -1,8 , переносим с левой части -, а минус на минус дает плюс
Автор ответа:
0
Ответ:
решение задач на фото готов
Приложения:
zagryzhenaya:
неправильно
там -8.2 а не 8.2
Похожие вопросы
Предмет: Информатика,
автор: gavrilkoevgenij58
Предмет: Английский язык,
автор: lucifervladislav5
Предмет: Математика,
автор: dawa01072011
Предмет: Математика,
автор: nazyr95
Предмет: Литература,
автор: иринка27091976