Предмет: Алгебра,
автор: eldarkumargali03
срочнооо!!!даммм 50баллов
Приложения:
Ответы
Автор ответа:
0
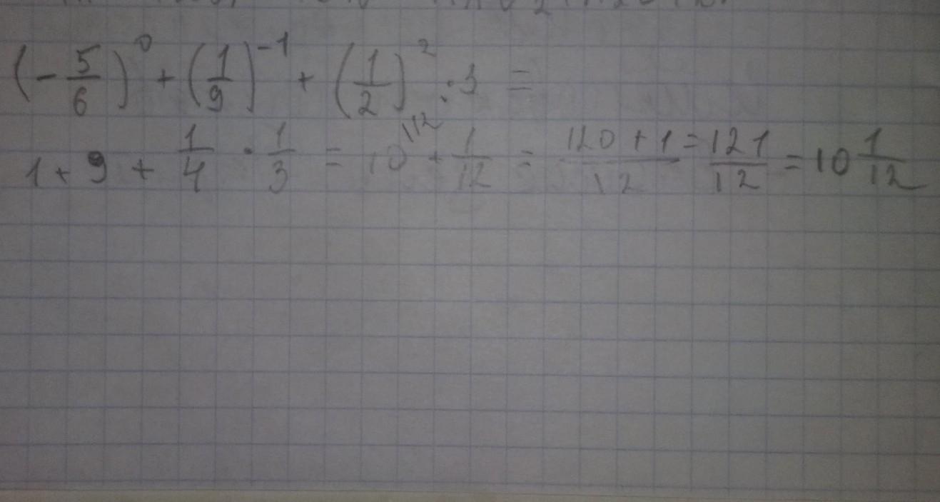
Ответ:
.......................
Приложения:
Похожие вопросы
Предмет: Алгебра,
автор: acelovek294
Предмет: География,
автор: alyjevruslan
Предмет: Биология,
автор: olgatehlivets
Предмет: Литература,
автор: рыжийананас
Предмет: Биология,
автор: промсаа