Предмет: Алгебра, автор: kat32796

помогите пожалуйста
туристи пропливли на моторному човні проти течії річки 6 км і повернулися назад витративши на всю подорож 4 год 30 хв. Яка власна швидкість човна якщо швидкість течії річки 1 км/год?

Ответы

Автор ответа: LessMan
1

Ответ:

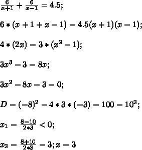
Пусть собственная скорость лодки х км\час, тогда скорость лодки по течению реки равна х+1 км\ч, против течения реки х-1 км\час, время пути по течению   ч, против течения  ч. По условию задачи составляем уравнение:

значит собственная скорость лодки равна 3 км\ч

овтет: 3 км\час

Приложения:
Похожие вопросы
Предмет: Русский язык, автор: kfjfidfifi
Говорение. [8] Составьте устное сообщение о ситуации, используя синонимы и безличные конструкции. Диалог 1 Карточка 1 Карточка 2 Ваш одноклассник заболел. Позвоните ему. Вы плохо себя чувствуете. Спросите его\ee o: Ответьте на вопросы вашего одноклассника. Его здоровье. Спросите его о: Что он\она делает дома? - Последних школьных новостях, Ответьте на его\ее вопросы. Что делали на уроках английского языка? (вы начинаете диалог) (вы начинаете диалог) Диалог 2 Карточка 1 Карточка 2 Скоро наступят ваши летние каникулы. Скоро наступят ваши летние каникулы. Ответьте на Узнайте у одноклассника: вопросы одноклассника. Спросите его: - Нравятся ли ему\ей летние каникулы? Что он\она будет делать на летних каникулах? - Где он\ она хотел\-а бы провести летние каникулы? Будет ли он\она помогать бабушке и дедушке во Ответьте на вопросы друга. время летних каникул? (вы начинаете диалог) (вы начинаете диалог)​
Предмет: Математика, автор: persik7