Предмет: Алгебра,
автор: Nikita5764346
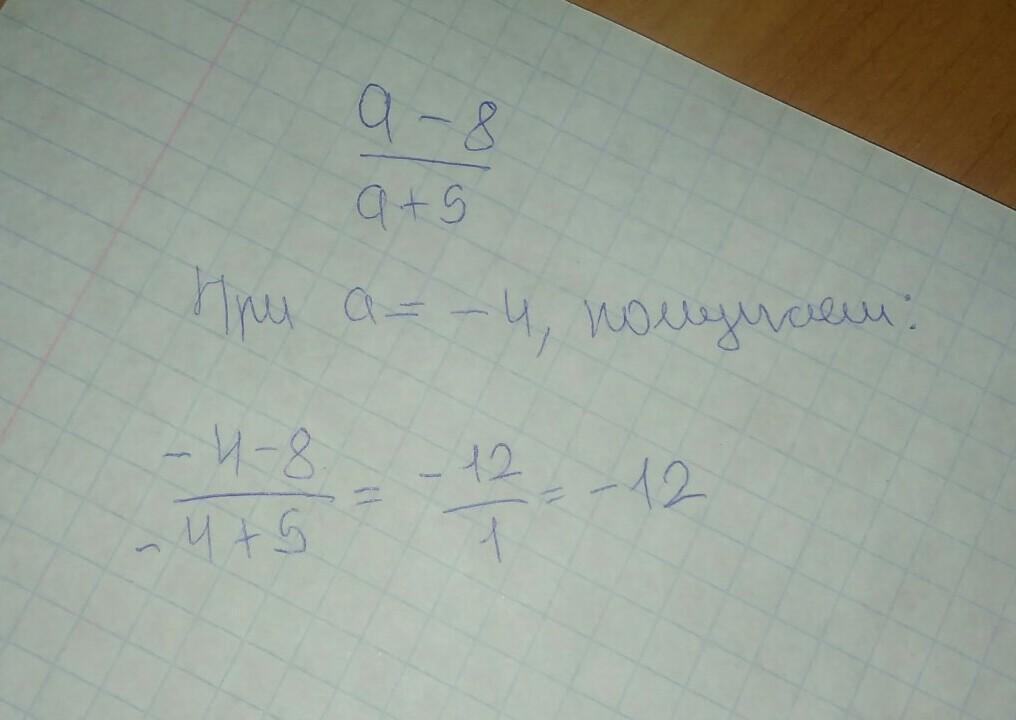
a-8 дробь a+5 при а=-4
Ответы
Автор ответа:
0
аздкдудадалулуддааазазаззвазвзвхаха
Приложения:
Автор ответа:
0
Ответ:
будет + 12 потому-что -4-8/-4+5
0ФЕЕЧГА0:
-4 - 8 = - 12, эм
ну да
Похожие вопросы
Предмет: Математика,
автор: dilaunusova58
Предмет: Алгебра,
автор: sg0929125
Предмет: Английский язык,
автор: kleeboomboombakadakl
Предмет: Алгебра,
автор: viktoriialomza
Предмет: Биология,
автор: maksimkulikov3