Предмет: Алгебра, автор: edinorogmimi

АЛГЕБРА ПОМОГИТЕ ПОЖАЛУЙСТА

Приложения:

Ответы

Автор ответа: helenelighter
0

Ответ:

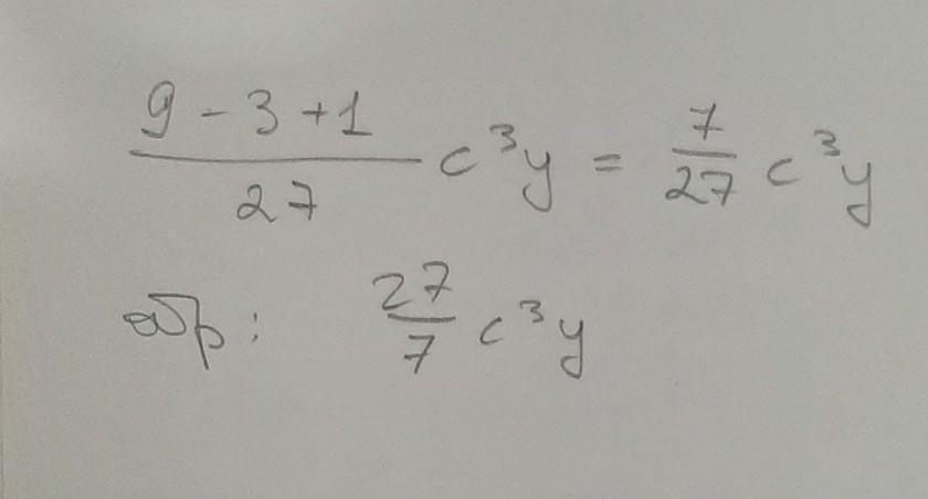
27/7*с^3*у

Объяснение:

..................

Приложения:

edinorogmimi: Помогите решить еще пожалуйста: −5ada^2+d^25ad если а=1/5, а d=-4. можно без решения, а только ответ
helenelighter: -5*а*d*a^2 + d^2*5*a*d правильно поняла?
edinorogmimi: да, нужно найти числовое значение многочлена
edinorogmimi: если переменная а=1/5, а переменная d= -4
helenelighter: -63
Похожие вопросы
Предмет: Математика, автор: IgnatovaKira123
Предмет: История, автор: mamontascam
Предмет: Математика, автор: олег3344