Предмет: Алгебра, автор: Xomyak36

Помогите пожалуйста. Ответ нужен побыстрее:

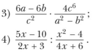
Приложения:

Ответы

Автор ответа: SecretlyGirl
1

Ответ:

вот

Объяснение:

Приложения:

Xomyak36: ?? Не дописано
SecretlyGirl: могу решение отправить
Xomyak36: Го, буду очень благодарен
SecretlyGirl: секунду
killHELPkill: я сделаль
SecretlyGirl: собственно, 4 нужно?
Xomyak36: Четвертое нужно
SecretlyGirl: жди
Автор ответа: killHELPkill
1

Я смотрю аниме, я очень крутой

Приложения:
Похожие вопросы
Предмет: Математика, автор: tetanaprodan6
Предмет: Українська мова, автор: nemhcenkodiana94
Предмет: Алгебра, автор: romka66684
Предмет: История, автор: занавеска34