Предмет: Алгебра,
автор: Katyapppp
Срочнооооо пожалуйста умоляю!!!!!!!!!
Приложения:
Ответы
Автор ответа:
1
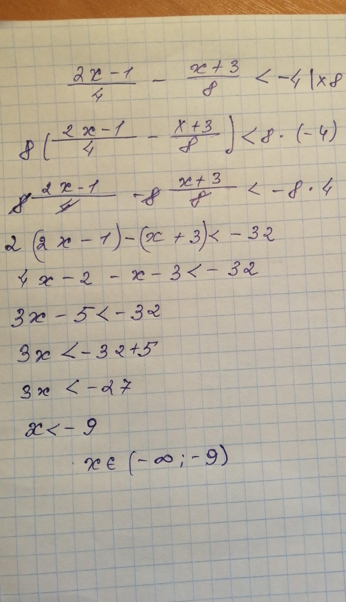
Ответ:
Объяснение:
Надеюсь помогла вам
Приложения:
Похожие вопросы
Предмет: Русский язык,
автор: JotaroKujohs
Предмет: Химия,
автор: s1tex10
Предмет: Математика,
автор: mariyakladko10
Предмет: Химия,
автор: filik2001
Предмет: История,
автор: lyudmila23839