Предмет: Математика,
автор: Arina081717likee
помогите пожалуйста буду благодарна
Приложения:
Ответы
Автор ответа:
0
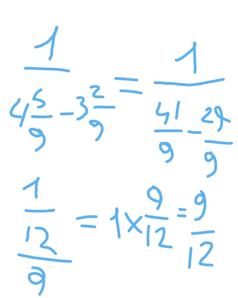
Пошаговое объяснение:
9/12 =0, 75
Насколько я помню, это решается так
Приложения:
Похожие вопросы
Предмет: Математика,
автор: merihacizade2010
Предмет: Обществознание,
автор: dmitrijsinicyn62
Предмет: Химия,
автор: mint153
Предмет: История,
автор: leosanchez11
Предмет: Литература,
автор: моськак657