Предмет: Алгебра,
автор: kozigairovadletik
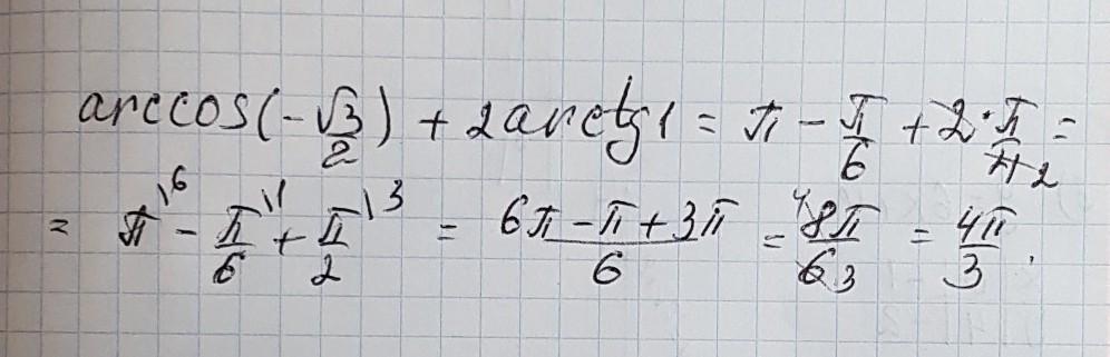
arccos(-√3/2) +2 arctg 1
Ответы
Автор ответа:
0
Ответ:
решение задания смотри на фотографии
Приложения:
Похожие вопросы
Предмет: Русский язык,
автор: loh44228
Предмет: География,
автор: kandydandy
Предмет: История,
автор: lilpop89
Предмет: Химия,
автор: Ромашка2112
Предмет: География,
автор: mashamorozova0