Предмет: Алгебра,
автор: suzuia

Помогите плиз
Ответы
Автор ответа:
0
Ответ:
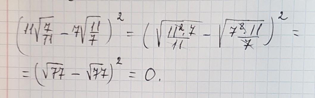
решение задания смотри на фотографии
Приложения:
Похожие вопросы
Предмет: История,
автор: onetmishkafreddy112
Предмет: Французский язык,
автор: BobrikDobr
Предмет: Математика,
автор: Miko4gifka
Предмет: Математика,
автор: sbusovserg
Предмет: Литература,
автор: юлия7510